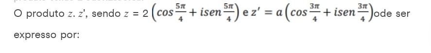
O produto de z por z' pode ser expresso:
A) 2đ(đđđ 0 + đđ đđ0)
B2a (cos pi+sen pi)
C đ(đđđ 2đ + đđ đđ2đ)
D đ(đđđ 2đ + đ đđ2đ)
Gab a
PrĂ©-Vestibular ⇒ n complexo
- erihh3 Offline
- Mensagens: 580
- Registrado em: 16 Set 2018, 12:59
- Agradeceu: 12 vezes
- Agradeceram: 367 vezes
Ago 2025
18
15:31
Re: n complexo
Sabe-se que [tex3]z\cdot z' = |z|\cdot |z'|\cdot \cis(\theta+\theta ')[/tex3]
DaĂ,
[tex3]z\cdot z' = 2\cdot a\cdot \cis\(\frac{5\pi}{4}+\frac{3\pi}{4}\)[/tex3]
[tex3]z\cdot z' = 2\cdot a\cdot \cis(2\pi)[/tex3]
[tex3]z\cdot z' = 2\cdot a\cdot \cis(0)[/tex3]
[tex3]z\cdot z' = 2\cdot a\cdot \(\cos 0 + \sen 0\)[/tex3]
DaĂ,
[tex3]z\cdot z' = 2\cdot a\cdot \cis\(\frac{5\pi}{4}+\frac{3\pi}{4}\)[/tex3]
[tex3]z\cdot z' = 2\cdot a\cdot \cis(2\pi)[/tex3]
[tex3]z\cdot z' = 2\cdot a\cdot \cis(0)[/tex3]
[tex3]z\cdot z' = 2\cdot a\cdot \(\cos 0 + \sen 0\)[/tex3]
Ciclo BĂĄsico - IME
-
- TĂłpicos Semelhantes
- Resp.
- ExibiçÔes
- Ălt. msg
![đŽ [ENEM 2025 PPL Live 05] MatemĂĄtica - Resolução de 156 atĂ© 160](/cdn-cgi/image/width=200,dpr=2,quality=85,format=auto,metadata=none,onerror=redirect/https://img.youtube.com/vi/m2T1rBKy2qU/mqdefault.jpg)
![đŽ [ENEM 2025 PPL Live 04] MatemĂĄtica - Resolução de 151 atĂ© 155](/cdn-cgi/image/width=200,dpr=2,quality=85,format=auto,metadata=none,onerror=redirect/https://img.youtube.com/vi/1scCX1e_dZo/mqdefault.jpg)
![đŽ [ENEM 2025 PPL Live 03] MatemĂĄtica - Resolução de 146 atĂ© 150](/cdn-cgi/image/width=200,dpr=2,quality=85,format=auto,metadata=none,onerror=redirect/https://img.youtube.com/vi/fD8ohgS6JKo/mqdefault.jpg)
![đŽ [ENEM 2025 PPL Live 02] MatemĂĄtica - Resolução de 141 atĂ© 145](/cdn-cgi/image/width=200,dpr=2,quality=85,format=auto,metadata=none,onerror=redirect/https://img.youtube.com/vi/np7jAEKAjTE/mqdefault.jpg)
![đŽ [ENEM 2025 PPL Live 01] MatemĂĄtica - Resolução de 136 atĂ© 140](/cdn-cgi/image/width=200,dpr=2,quality=85,format=auto,metadata=none,onerror=redirect/https://img.youtube.com/vi/vb1b6e7VXjw/mqdefault.jpg)
![đŽ [ENEM 2025 BelĂ©m Live 09] MatemĂĄtica - Resolução de 176 atĂ© 180](/cdn-cgi/image/width=200,dpr=2,quality=85,format=auto,metadata=none,onerror=redirect/https://img.youtube.com/vi/krrZ-ei9zSY/mqdefault.jpg)