Leandro, vamos tentar explicar item a item da questão:
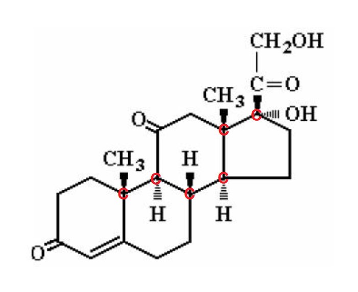
A partir de sua estrutura, podemos afirmar que a cortisona:
( ) Possui 6 carbonos assimétricos.
VERDADEIRA. Todos os 6 carbonos assimétricos identificados na figura:

- Cortisona.JPG (26.46 KiB) Exibido 5485 vezes
( ) Possui uma função de álcool primário e outra de álcool secundário.
FALSA. Possui uma função de álcool primário e outra de álcool TERCIÁRIO.
( ) Possui três funções de cetona.
VERDADEIRA. Possui três funções de cetona.
( ) Apresenta atividade óptica devido apenas aos carbonos que possuem grupamentos metílicos.
FALSA. Apresenta atividade óptica devido
apenas aos carbonos que possuem grupamentos metílicos + não metílicos.
( ) Pode apresentar tautomeria
VERDADEIRA. Devido a presença de cetona pode ocorrer Tautomeria Cetoenólica:
Tautomeria cetoenólico: essa tautomeria se dá entre cetonas e enóis em meio aquoso.
https://mundoeducacao.bol.uol.com.br/qu ... omeria.htm