• 🔴 [ENEM 2025 PPL Live 05] Matemática - Resolução de 156 até 160
  • 🔴 [ENEM 2025 PPL Live 04] Matemática - Resolução de 151 até 155
  • 🔴 [ENEM 2025 PPL Live 03] Matemática - Resolução de 146 até 150
  • 🔴 [ENEM 2025 PPL Live 02] Matemática - Resolução de 141 até 145
  • 🔴 [ENEM 2025 PPL Live 01] Matemática - Resolução de 136 até 140
  • 🔴 [ENEM 2025 Belém Live 09] Matemática - Resolução de 176 até 180

Físico-Química(OQRJ) pH

Avatar do usuário
Gu178 Offline
Veterano
Mensagens: 260
Registrado em: 12 Ago 2014, 18:55
Agradeceu: 159 vezes
Agradeceram: 17 vezes
Mai 2015 31 13:40

(OQRJ) pH

Mensagem por Gu178 »

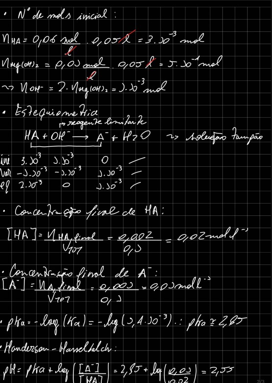
Em um recipiente, foram misturados 50 mL de uma solução de hidróxido de magnésio na concentração de 0,01 mol/L e 50 mL de uma solução de ácido cloro-etanóico [tex3](Ka = 1,4 * 10^{-3})[/tex3] na concentração de 0,06 mol/L. O valor do pH da solução resultante foi de

Resposta

2,5
Editado pela última vez por Gu178 em 31 Mai 2015, 13:40, em um total de 1 vez.
Avatar do usuário
Usuário Excluído 30973
Out 2025 02 18:26

Re: (OQRJ) pH

Mensagem por Usuário Excluído 30973 »

Captura de tela 2025-10-02 182434.png
Responder
  • Tópicos Semelhantes
    Resp.
    Exibições
    Últ. msg
  • (OQRJ) Solução
    por duvidasvest » » em Química Geral
    1 Resp.
    877 Exibições
    Últ. msg por Planck Avatar do usuário
  • (OQRJ) pH
    por Gu178 » » em Físico-Química
    2 Resp.
    2860 Exibições
    Últ. msg por VALDECIRTOZZI
  • (OQRJ) Propriedades coligativas
    por Gu178 » » em Físico-Química
    1 Resp.
    969 Exibições
    Últ. msg por Gu178
  • (OQRJ) Equilíbrio Químico
    por Gu178 » » em Físico-Química
    1 Resp.
    1613 Exibições
    Últ. msg por Usuário Excluído 30973 Avatar do usuário
  • (OQRJ - 2007) Cinética dos Gases
    por undefinied3 » » em Físico-Química
    0 Resp.
    1121 Exibições
    Últ. msg por undefinied3 Avatar do usuário

Voltar para “Físico-Química”