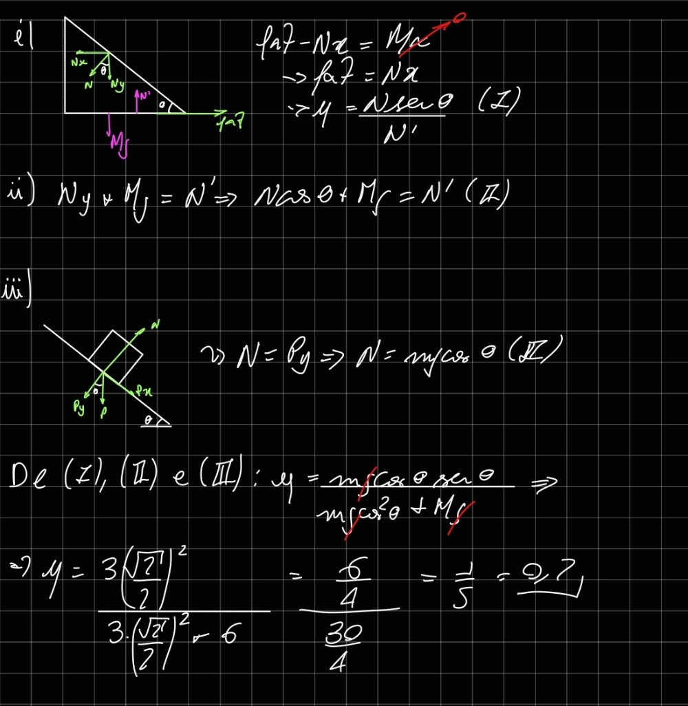
alguém pode me ajudar nessa daqui estou achando somente 1/6.
Resposta
Gabarito:A)0,2
o gabarito é exatamente esse, eu havia resolvido a questão no mesmo dia, mas nao consegui postar a resolução, mas deixei o topico aberto pra caso no futuro alguem tambem veja essa questão e tenha dificuldade, obrigadogibbs escreveu: 18 Abr 2025, 16:10 acho que seja isso, não tenho certeza.
SmartSelect_20250418_160755_Samsung Notes.jpg