Bloqueador de anúncios detectado: Nosso site é possível exibindo anúncios online para nossos visitantes. Por favor, considere nos apoiar desativando seu bloqueador de anúncios em nosso site.
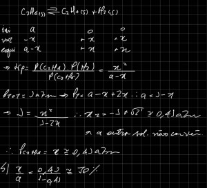
A reação de desidrogenação do etano a eteno, conduzida a 1060K, tem constante de equilíbrio Kp igual a 1. Sabendo-se que a pressão da mistura racional no equilíbrio é igual a 1atm, determine:
a) a pressão parcial, em atmosferas do eteno no equilíbrio
Sabe, eu vi essa questão um tempinho atrás. Pra resolver ela, tem que ter uma carteação muito sinistra. Até queria aproveitar e perguntar se alguém sabe como explicar como chegar nessa carteada usando raciocínio.
Mas vamos lá pra...
[tex3](\text{sen} x + cos x)^2 = 1 + \text{sen} 2x[/tex3] [tex3]\text{sen}^2 x + cos^2 x + 2.\text{sen} x. cos x = 1 + \text{sen} 2x[/tex3] [tex3]\text{sen} 2x = \text{sen} 2x[/tex3]
Sejam [tex3]x_1[/tex3] e [tex3]x_2[/tex3] as raízes da equação [tex3]x^2[/tex3]+(m-15)x+m=0.Sabendo que [tex3]x_1[/tex3] e [tex3]x_2[/tex3] são números inteiros,determine o conjunto de valores possíveis para m.
Cara , essa eu vi resolvida numa resoluçao de cursinho. Digo mais, na prova eu nao consegui fazer essa, mas deixa quieto, rs..
A gente faz assim,utilizando a fórmula do produto das raízes: [tex3]x_1 \times x_2 = m[/tex3]. Daí que...
Sejam C e [tex3]C^*[/tex3] dois circulos tangentes exteriores de raios r e [tex3]r^*[/tex3] e centros O e [tex3]O^*[/tex3],respectivamente, e seja t uma reta tangente comum a C e [tex3]C^*[/tex3] nos pontos não coincidentes A e...
Olá Yuri. Eu montei uma figura ilustrativa para o problema (eu usei letras minúsculas para a o círculo menor e letras maiúsculas para o círculo maior): Se efetuarmos a rotação do segmento [tex3]\overline{Aa}[/tex3] em torno do eixo...