• 🔴 [ENEM 2025 PPL Live 05] Matemática - Resolução de 156 até 160
  • 🔴 [ENEM 2025 PPL Live 04] Matemática - Resolução de 151 até 155
  • 🔴 [ENEM 2025 PPL Live 03] Matemática - Resolução de 146 até 150
  • 🔴 [ENEM 2025 PPL Live 02] Matemática - Resolução de 141 até 145
  • 🔴 [ENEM 2025 PPL Live 01] Matemática - Resolução de 136 até 140
  • 🔴 [ENEM 2025 Belém Live 09] Matemática - Resolução de 176 até 180

IME / ITA(ITA) Medida da Reta Paralela

Aqui deverão ser postadas questões desses vestibulares e de outras instituições militares (EN, CN, EsPCEx etc.) ou questões de estilo militar que você obteve durante seus estudos para esses vestibulares.
Avatar do usuário
Jpgonçalves Offline
Avançado
Mensagens: 142
Registrado em: 14 Jan 2022, 20:24
Agradeceu: 10 vezes
Agradeceram: 9 vezes
Jan 2025 18 00:04

(ITA) Medida da Reta Paralela

Mensagem por Jpgonçalves »

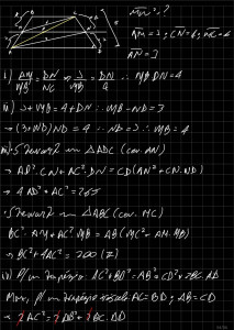
Seja o trapézio isósceles ABCD, (BC || AD). Traça-se uma reta paralela as bases que corta os lados AB e CD em M e N, respectivamente. Calcule MN^2 se AM = 1, CN = 4, MC = 6 e AN = 7.

a) 42,5
b) 47
c) 45,5
d) 46
Resposta

a) 42,5
Avatar do usuário
Usuário Excluído 30973
Ago 2025 14 13:07

Re: (ITA) Medida da Reta Paralela

Mensagem por Usuário Excluído 30973 »

Questão meio chatinha essa. Cheguei em exatamente 42,4. Talvez tenham arredondado o valor nas alternativas ou eu possa ter errado mesmo, mas acredito que seja isso:
1000008744.jpg
1000008745.jpg
Responder
  • Tópicos Semelhantes
    Resp.
    Exibições
    Últ. msg

Voltar para “IME / ITA”