• 🔴 [ENEM 2025 PPL Live 06] Matemática - Resolução de 161 até 165
  • 🔴 [ENEM 2025 PPL Live 05] Matemática - Resolução de 156 até 160
  • 🔴 [ENEM 2025 PPL Live 04] Matemática - Resolução de 151 até 155
  • 🔴 [ENEM 2025 PPL Live 03] Matemática - Resolução de 146 até 150
  • 🔴 [ENEM 2025 PPL Live 02] Matemática - Resolução de 141 até 145
  • 🔴 [ENEM 2025 PPL Live 01] Matemática - Resolução de 136 até 140

Pré-Vestibular(CM-Salvador-2007) Radicais

Poste aqui questões de Vestibulares ou questões que você obteve durante seu estudo para Vestibulares.
Informe a fonte, o ano e o assunto. Exemplo: (FUVEST - 2008) Logaritmos.
Avatar do usuário
ALANSILVA Offline
2 - Nerd
Mensagens: 1600
Registrado em: 26 Jul 2013, 22:59
Localização: Rio de Janeiro-RJ
Agradeceu: 470 vezes
Agradeceram: 213 vezes
Jan 2015 05 21:54

(CM-Salvador-2007) Radicais

Mensagem por ALANSILVA »

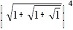
O valor de
Radicais.jpg
Radicais.jpg (1.9 KiB) Exibido 835 vezes
é:

a) [tex3]\sqrt{2} + \sqrt{3}[/tex3]
b) [tex3]\frac{1}{2}[/tex3](7+3 [tex3]\sqrt{5}[/tex3])
c) 1+2 [tex3]\sqrt{3}[/tex3]
d) 3
e) 3+2 [tex3]\sqrt{2}[/tex3]
Resposta

Letra E
Editado pela última vez por ALANSILVA em 05 Jan 2015, 21:54, em um total de 1 vez.
No meio da dificuldade se encontra a oportunidade (Albert Einstein)
Avatar do usuário
Ittalo25 Offline
5 - Mestre
Mensagens: 2350
Registrado em: 18 Nov 2013, 22:11
Agradeceu: 299 vezes
Agradeceram: 1420 vezes
Jan 2015 05 22:01

Re: (CM-Salvador-2013) Radicais

Mensagem por Ittalo25 »

[tex3]\(\sqrt{1+\sqrt{1+\sqrt{1}}}\)^4[/tex3]

[tex3]\(\sqrt{1+\sqrt{2}}\)^4 =[/tex3]

[tex3]\(1+\sqrt{2}\)^2 =[/tex3]

[tex3]2\sqrt{2}+3[/tex3]
Editado pela última vez por Ittalo25 em 05 Jan 2015, 22:01, em um total de 1 vez.
Ninguém pode ser perfeito, mas todos podem ser melhores. [\Bob Esponja]
Responder
  • Tópicos Semelhantes
    Resp.
    Exibições
    Últ. msg

Voltar para “Pré-Vestibular”