• 🔴 [ENEM 2025 PPL Live 05] Matemática - Resolução de 156 até 160
  • 🔴 [ENEM 2025 PPL Live 04] Matemática - Resolução de 151 até 155
  • 🔴 [ENEM 2025 PPL Live 03] Matemática - Resolução de 146 até 150
  • 🔴 [ENEM 2025 PPL Live 02] Matemática - Resolução de 141 até 145
  • 🔴 [ENEM 2025 PPL Live 01] Matemática - Resolução de 136 até 140
  • 🔴 [ENEM 2025 Belém Live 09] Matemática - Resolução de 176 até 180

Olimpíadas(AIME-2003) Análise Combinatória Tópico resolvido

Aqui devem ser postados problemas Olímpicos. Informe a olimpíada e o ano no título do tópico. Exemplo: (OBM - 2008).
Avatar do usuário
gabrielifce Offline
Imperial
Mensagens: 756
Registrado em: 07 Fev 2012, 17:19
Agradeceu: 286 vezes
Agradeceram: 52 vezes
Mai 2015 28 07:35

(AIME-2003) Análise Combinatória

Mensagem por gabrielifce »

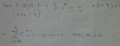
Quantos inteiros de 4 digitos possuem soma dos dois primeiros digitos igual à soma dos dois últimos digitos?
Resposta

615
A minha idéia era esta: A,B,C,D; A={1,2,3,....,9}, B=C=D={0,1,2,3,...,9}
9x10x2!, o 2! << aí é o seguinte, C e D podem assumir somente os valores escolhidos em A e B

É verdade Tou errado G.G~~Errei feio, isso que dá café faltar.
Editado pela última vez por gabrielifce em 28 Mai 2015, 07:35, em um total de 1 vez.
Incrível.
Avatar do usuário
gabrielifce Offline
Imperial
Mensagens: 756
Registrado em: 07 Fev 2012, 17:19
Agradeceu: 286 vezes
Agradeceram: 52 vezes
Jun 2015 06 19:06

Re: (AIME-2003) Análise Combinatória

Mensagem por gabrielifce »

Up
Incrível.
Avatar do usuário
gabrielifce Offline
Imperial
Mensagens: 756
Registrado em: 07 Fev 2012, 17:19
Agradeceu: 286 vezes
Agradeceram: 52 vezes
Jun 2015 06 21:21

Re: (AIME-2003) Análise Combinatória

Mensagem por gabrielifce »

Consegui \o/, maahh deu conta, pra excluir casos, vou postar solução amanhã.
Incrível.
Avatar do usuário
gabrielifce Offline
Imperial
Mensagens: 756
Registrado em: 07 Fev 2012, 17:19
Agradeceu: 286 vezes
Agradeceram: 52 vezes
Jun 2015 07 09:25

Re: (AIME-2003) Análise Combinatória

Mensagem por gabrielifce »

Como prometido :D/ Creio que da pra ter uma idéia
Anexos
20150607_084901(1).jpg
20150607_084901(2).jpg
20150607_084909(1).jpg
20150607_084926(1).jpg
20150607_084926(2).jpg
20150607_084926(2).jpg (29.79 KiB) Exibido 2181 vezes
20150607_084933(1).jpg
20150607_084951(1).jpg
20150607_084951(1).jpg (38.66 KiB) Exibido 2181 vezes
20150607_084951(2).jpg
20150607_084951(2).jpg (46.8 KiB) Exibido 2181 vezes
20150607_084951(3).jpg
20150607_084951(3).jpg (31.84 KiB) Exibido 2181 vezes
Incrível.
Avatar do usuário
Auto Excluído (ID: 23699)
Out 2021 15 18:18

Re: (AIME-2003) Análise Combinatória

Mensagem por Auto Excluído (ID: 23699) »

UP. Algum jeito mais compreensível? :?
Responder
  • Tópicos Semelhantes
    Resp.
    Exibições
    Últ. msg

Voltar para “Olimpíadas”