Ensino Superior ⇒ Derivada equações diferenciais lineares de 1º Ordem
- Solomonkane Offline
- Mensagens: 13
- Registrado em: 07 Mai 2017, 17:26
- Agradeceu: 2 vezes
Mai 2017
09
18:12
Derivada equações diferenciais lineares de 1º Ordem
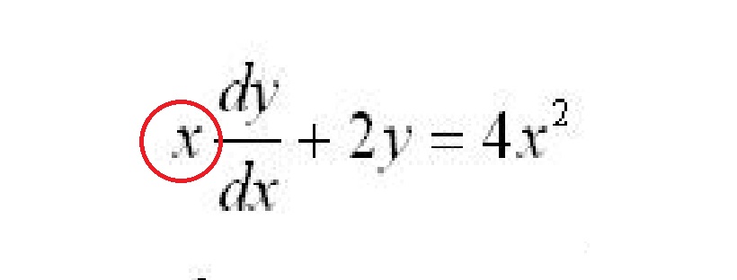
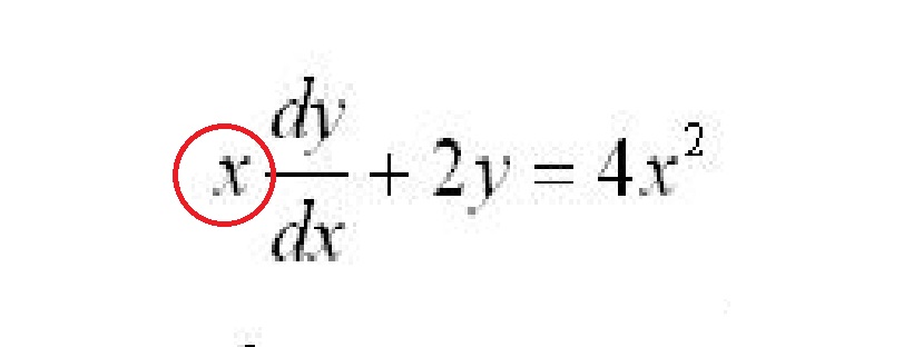
Minha dúvida é por que o (x) sai dividindo toda a equação,pois faltei a essa aula Valeu!!
[tex3]x\frac{dy}{dx}+2y=4x^2[/tex3]
[tex3]x\frac{dy}{dx}+2y=4x^2[/tex3]
Editado pela última vez por Solomonkane em 09 Mai 2017, 18:12, em um total de 2 vezes.
- Solomonkane Offline
- Mensagens: 13
- Registrado em: 07 Mai 2017, 17:26
- Agradeceu: 2 vezes
Mai 2017
09
18:15
Re: Derivada equações diferenciais lineares de 1º Ordem
Gostaria de saber o nome do metodo desta variavel que divide praticamente toda equação!? Valeu !!
Editado pela última vez por Solomonkane em 09 Mai 2017, 18:24, em um total de 1 vez.
- Solomonkane Offline
- Mensagens: 13
- Registrado em: 07 Mai 2017, 17:26
- Agradeceu: 2 vezes
Mai 2017
09
18:18
Re: Derivada equações diferenciais lineares de 1º Ordem
Minha dúvida é por que o (x) sai divdindo toda a equação,pois faltei a essa aula Valeu!!
Editado pela última vez por Solomonkane em 09 Mai 2017, 18:18, em um total de 2 vezes.
- Solomonkane Offline
- Mensagens: 13
- Registrado em: 07 Mai 2017, 17:26
- Agradeceu: 2 vezes
Mai 2017
09
18:22
Re: Derivada equações diferenciais lineares de 1º Ordem
Minha dúvida esta na variavel x que multiplica dy/dx
[tex3]x\frac{dy}{dx}+2y=4x²[/tex3]
Editado pela última vez por Solomonkane em 09 Mai 2017, 18:22, em um total de 1 vez.
- Andre13000 Offline
- Mensagens: 847
- Registrado em: 18 Mar 2017, 17:30
- Agradeceu: 150 vezes
- Agradeceram: 565 vezes
Mai 2017
09
19:50
Re: Derivada equações diferenciais lineares de 1º Ordem
Seguinte:
Sempre que você tiver uma equação diferencial na forma:
[tex3]y'+yQ(x)=H(x)[/tex3]
Você pode usar a seguinte regra de derivação a seu favor
[tex3](uv)'=u'v+uv'[/tex3]
Desse modo, podemos fazer o seguinte:
[tex3]y'I(x)+yQ(x)I(x)=H(x)I(x)[/tex3]
Onde [tex3]I(x)[/tex3] é uma função tal que corrigirá o nossa equação para que possamos reduzi-la.
[tex3]u'=y'\\
u=y\\
v=I(x)\\
v'=I(x)Q(x)\\
(uv)'=I(x)H(x)\\
(I(x)y)'=I(x)H(x)\\\therefore y=\frac{1}{I(x)}\int I(x)H(x)~dx+C[/tex3]
Ainda:
[tex3](I(x)y)'=I(x)H(x)=y'I(x)+yQ(x)I(x)\\
(I(x)y)'=y'I(x)+yQ(x)I(x)\\
I'(x)\cancel{y}+\cancel{I(x)y'}=\cancel{y'I(x)}+\cancel yQ(x)I(x)\\
I'(x)=Q(x)I(x)\\
\frac{I'(x)}{I(x)}=Q(x)\\
\int \frac{I'(x)}{I(x)}~dx=\int Q(x)~dx\\
\ln I=\int Q(x)~dx\\
I=e^{\int Q(x)~dx}[/tex3]
Que é o nosso fator integrante.
Portanto:
[tex3]y'+yQ(x)=H(x)\\
(y'+yQ(x))\cdot e^{\int Q(x)~dx}=H(x)\cdot e^{\int Q(x)~dx}\\
\left(ye^{\int Q(x)~dx}\right)'=H(x)\cdot e^{\int Q(x)~dx}\\
y=\frac{1}{e^{\int Q(x)~dx}}\int e^{\int Q(x)~dx}H(x)~dx+C[/tex3]
Só pra constar, ninguém memoriza essa fórmula. Só multiplique os dois membros pelo fator integrante e desenvolva o resto.
No seu caso:[tex3]x\frac{dy}{dx}+2y=4x^2[/tex3]
Se você for esperto verá que:
[tex3]x^2y'+2xy=(x^2y)'\\\therefore \left(xy'+2y\right)x=(4x^2)x\\
x^2y'+2xy=4x^3\\
(x^2y')=4x^3[/tex3]
E a partir daí resolve-se o resto. Mas usando o método do fator integrante:
[tex3]xy'+2y=4x^2[/tex3]
DIVIDE-SE POR X POIS SE QUER ISOLAR O Y', tendo em vista que a fórmula só funciona para equações diferenciais da forma que eu mostrei lá encima. O fator integrante fica [tex3]x^2[/tex3].
Sempre que você tiver uma equação diferencial na forma:
[tex3]y'+yQ(x)=H(x)[/tex3]
Você pode usar a seguinte regra de derivação a seu favor
[tex3](uv)'=u'v+uv'[/tex3]
Desse modo, podemos fazer o seguinte:
[tex3]y'I(x)+yQ(x)I(x)=H(x)I(x)[/tex3]
Onde [tex3]I(x)[/tex3] é uma função tal que corrigirá o nossa equação para que possamos reduzi-la.
[tex3]u'=y'\\
u=y\\
v=I(x)\\
v'=I(x)Q(x)\\
(uv)'=I(x)H(x)\\
(I(x)y)'=I(x)H(x)\\\therefore y=\frac{1}{I(x)}\int I(x)H(x)~dx+C[/tex3]
Ainda:
[tex3](I(x)y)'=I(x)H(x)=y'I(x)+yQ(x)I(x)\\
(I(x)y)'=y'I(x)+yQ(x)I(x)\\
I'(x)\cancel{y}+\cancel{I(x)y'}=\cancel{y'I(x)}+\cancel yQ(x)I(x)\\
I'(x)=Q(x)I(x)\\
\frac{I'(x)}{I(x)}=Q(x)\\
\int \frac{I'(x)}{I(x)}~dx=\int Q(x)~dx\\
\ln I=\int Q(x)~dx\\
I=e^{\int Q(x)~dx}[/tex3]
Que é o nosso fator integrante.
Portanto:
[tex3]y'+yQ(x)=H(x)\\
(y'+yQ(x))\cdot e^{\int Q(x)~dx}=H(x)\cdot e^{\int Q(x)~dx}\\
\left(ye^{\int Q(x)~dx}\right)'=H(x)\cdot e^{\int Q(x)~dx}\\
y=\frac{1}{e^{\int Q(x)~dx}}\int e^{\int Q(x)~dx}H(x)~dx+C[/tex3]
Só pra constar, ninguém memoriza essa fórmula. Só multiplique os dois membros pelo fator integrante e desenvolva o resto.
No seu caso:[tex3]x\frac{dy}{dx}+2y=4x^2[/tex3]
Se você for esperto verá que:
[tex3]x^2y'+2xy=(x^2y)'\\\therefore \left(xy'+2y\right)x=(4x^2)x\\
x^2y'+2xy=4x^3\\
(x^2y')=4x^3[/tex3]
E a partir daí resolve-se o resto. Mas usando o método do fator integrante:
[tex3]xy'+2y=4x^2[/tex3]
DIVIDE-SE POR X POIS SE QUER ISOLAR O Y', tendo em vista que a fórmula só funciona para equações diferenciais da forma que eu mostrei lá encima. O fator integrante fica [tex3]x^2[/tex3].
Editado pela última vez por Andre13000 em 09 Mai 2017, 19:50, em um total de 1 vez.
“Study hard what interests you the most in the most undisciplined, irreverent and original manner possible.” -Richard Feynman
- Solomonkane Offline
- Mensagens: 13
- Registrado em: 07 Mai 2017, 17:26
- Agradeceu: 2 vezes
-
- Tópicos Semelhantes
- Resp.
- Exibições
- Últ. msg
-
- 1 Resp.
- 1095 Exibições
-
Últ. msg por Cardoso1979
-
- 1 Resp.
- 937 Exibições
-
Últ. msg por Cardoso1979
-
- 2 Resp.
- 1244 Exibições
-
Últ. msg por fortran
-
- 1 Resp.
- 1069 Exibições
-
Últ. msg por pedro059
-
- 1 Resp.
- 1143 Exibições
-
Últ. msg por Cardoso1979
![🔴 [ENEM 2025 PPL Live 06] Matemática - Resolução de 161 até 165](/cdn-cgi/image/width=200,dpr=2,quality=85,format=auto,metadata=none,onerror=redirect/https://img.youtube.com/vi/ucQZ6Qn91JM/mqdefault.jpg)
![🔴 [ENEM 2025 PPL Live 05] Matemática - Resolução de 156 até 160](/cdn-cgi/image/width=200,dpr=2,quality=85,format=auto,metadata=none,onerror=redirect/https://img.youtube.com/vi/m2T1rBKy2qU/mqdefault.jpg)
![🔴 [ENEM 2025 PPL Live 04] Matemática - Resolução de 151 até 155](/cdn-cgi/image/width=200,dpr=2,quality=85,format=auto,metadata=none,onerror=redirect/https://img.youtube.com/vi/1scCX1e_dZo/mqdefault.jpg)
![🔴 [ENEM 2025 PPL Live 03] Matemática - Resolução de 146 até 150](/cdn-cgi/image/width=200,dpr=2,quality=85,format=auto,metadata=none,onerror=redirect/https://img.youtube.com/vi/fD8ohgS6JKo/mqdefault.jpg)
![🔴 [ENEM 2025 PPL Live 02] Matemática - Resolução de 141 até 145](/cdn-cgi/image/width=200,dpr=2,quality=85,format=auto,metadata=none,onerror=redirect/https://img.youtube.com/vi/np7jAEKAjTE/mqdefault.jpg)
![🔴 [ENEM 2025 PPL Live 01] Matemática - Resolução de 136 até 140](/cdn-cgi/image/width=200,dpr=2,quality=85,format=auto,metadata=none,onerror=redirect/https://img.youtube.com/vi/vb1b6e7VXjw/mqdefault.jpg)