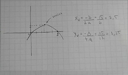
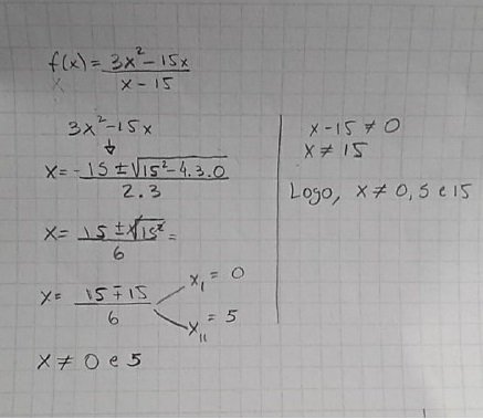
Determine o domínio e esboce o gráfico da função
[tex3]f(x) = \frac{3x^2 - 15x}{x - 15}[/tex3]
Pessoal, quanto ao domínio, eu entendo que o x ≠ 5, mas o x também não deveria ser ≠ 0 ? Pra mim, a resposta correta seria D = {x∈R/x≠ 0 e x≠5}.
Quanto ao gráfico, como para determiná-lo ? Obrigado.

- Jhonatan.jpg (19.16 KiB) Exibido 907 vezes
Editado pela última vez por
cajuADMIN em 28 Ago 2018, 11:10, em um total de 1 vez.
Razão: arrumar imagem.