• 🔴 [ENEM 2025 PPL Live 05] Matemática - Resolução de 156 até 160
  • 🔴 [ENEM 2025 PPL Live 04] Matemática - Resolução de 151 até 155
  • 🔴 [ENEM 2025 PPL Live 03] Matemática - Resolução de 146 até 150
  • 🔴 [ENEM 2025 PPL Live 02] Matemática - Resolução de 141 até 145
  • 🔴 [ENEM 2025 PPL Live 01] Matemática - Resolução de 136 até 140
  • 🔴 [ENEM 2025 Belém Live 09] Matemática - Resolução de 176 até 180

Química Orgânica(UFMG) Ciclanos

Estamos a procura de moderadores para os fóruns de Química.
Se for do seu interesse, envie uma mensagem para o Prof. Caju
Avatar do usuário
britneyspears Offline
Avançado
Mensagens: 144
Registrado em: 27 Jul 2017, 07:14
Agradeceu: 80 vezes
Agradeceram: 7 vezes
Set 2018 10 20:03

(UFMG) Ciclanos

Mensagem por britneyspears »

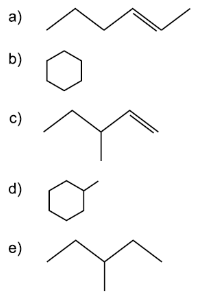
(UFMG-MG) Um hidrocarboneto apresenta as seguintes características:

I. não descora uma solução de [tex3]Br_2[/tex3] em [tex3]CCℓ_4[/tex3].
II. sua molécula contém um átomo de carbono terciário.
III. sua fórmula molecular é [tex3]C_6H_{12}[/tex3].

Uma fórmula estrutural possível para esse hidrocarboneto é:
Screen Shot 2018-09-10 at 23.35.39.png
Screen Shot 2018-09-10 at 23.35.39.png (11.72 KiB) Exibido 4048 vezes
Resposta

D
Esse gabarito está certo?
Editado pela última vez por caju em 10 Set 2018, 23:36, em um total de 1 vez.
Razão: arrumar imagem.
Avatar do usuário
MateusQqMD Offline
5 - Mestre
Mensagens: 2694
Registrado em: 16 Ago 2018, 19:15
Nome completo: Mateus Meireles
Localização: Fortaleza/CE
Agradeceu: 1146 vezes
Agradeceram: 1362 vezes
Set 2018 10 22:00

Re: (UFMG) Ciclanos

Mensagem por MateusQqMD »

Pesquisando no google, encontrei outras alternativas para essa questão:

britneyspears_reações.png
britneyspears_reações.png (20.91 KiB) Exibido 4052 vezes

Não faz sentido marcar o item D do seu enunciado, bem como o item E, porque eles não obedecem o item III. De forma semelhante, os itens A e C descolorem a solução, e também o item B não obedece ao que é proposto no item II.
"Como sou pouco e sei pouco, faço o pouco que me cabe me dando por inteiro."
Avatar do usuário
britneyspears Offline
Avançado
Mensagens: 144
Registrado em: 27 Jul 2017, 07:14
Agradeceu: 80 vezes
Agradeceram: 7 vezes
Set 2018 14 17:06

Re: (UFMG) Ciclanos

Mensagem por britneyspears »

Então qual seria o gabarito?
Avatar do usuário
MateusQqMD Offline
5 - Mestre
Mensagens: 2694
Registrado em: 16 Ago 2018, 19:15
Nome completo: Mateus Meireles
Localização: Fortaleza/CE
Agradeceu: 1146 vezes
Agradeceram: 1362 vezes
Set 2018 14 17:20

Re: (UFMG) Ciclanos

Mensagem por MateusQqMD »

britneyspears escreveu: 14 Set 2018, 17:06 Então qual seria o gabarito?
O gabarito é a alternativa D da imagem que eu postei, veja que a imagem que eu coloquei é diferente da sua.
"Como sou pouco e sei pouco, faço o pouco que me cabe me dando por inteiro."
Avatar do usuário
skulllsux189 Offline
Veterano
Mensagens: 328
Registrado em: 01 Fev 2018, 01:26
Agradeceu: 100 vezes
Agradeceram: 12 vezes
Dez 2018 14 03:32

Re: (UFMG) Ciclanos

Mensagem por skulllsux189 »

c,d,e - unicas que tem carbono terciário ligado a 3 carbonos...

O gabarito certo é a C. Sobre a afirmativa 1 nao faço ideia,(de um google em reações químicas), mas é so contar os carbonos, lembrando que as pontas dos carbonos tem grupos metils(CH3).... A unica que dá a formula é a C
Editado pela última vez por skulllsux189 em 14 Dez 2018, 03:35, em um total de 2 vezes.
Responder
  • Tópicos Semelhantes
    Resp.
    Exibições
    Últ. msg

Voltar para “Química Orgânica”