• 🔴 [ENEM 2025 PPL Live 03] Matemática - Resolução de 146 até 150
  • 🔴 [ENEM 2025 PPL Live 02] Matemática - Resolução de 141 até 145
  • 🔴 [ENEM 2025 PPL Live 01] Matemática - Resolução de 136 até 140
  • 🔴 [ENEM 2025 Belém Live 09] Matemática - Resolução de 176 até 180
  • 🔴 [ENEM 2025 Belém Live 08] Matemática - Resolução de 171 até 175
  • 🔴 [ENEM 2025 Belém Live 07] Matemática - Resolução de 166 até 170

Física IIICampo magnético(UFT-2019/2) Tópico resolvido

Eletricidade e Magnetismo
Avatar do usuário
Fotoeletrico Offline
1 - Trainee
Mensagens: 133
Registrado em: 21 Jan 2019, 17:17
Agradeceu: 265 vezes
Agradeceram: 80 vezes
Mai 2019 30 11:29

Campo magnético(UFT-2019/2)

Mensagem por Fotoeletrico »

Uma espira circular de raio 𝑟 é ligada em série a um resistor 𝑅1 e uma bateria que fornece uma tensão V1. A uma distância d, em relação ao centro da espira, passa um fio que está ligado a um resistor 𝑅2 e uma bateria de tensão V2, conforme a figura que segue.
ERRE.JPG
ERRE.JPG (5.58 KiB) Exibido 2201 vezes
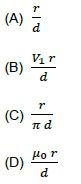
Considerando o meio como o vácuo e V1 = V2, a alternativa CORRETA para a razão 𝑅2/𝑅1 em que o campo magnético no centro da espira seja nulo é:
gaba.JPG
gaba.JPG (3.19 KiB) Exibido 2201 vezes
Resposta

C
A person who never made a mistake, never tried anything new.
Viajante do espaço-tempo! :arrow:
Avatar do usuário
Planck Offline
5 - Mestre
Mensagens: 2863
Registrado em: 15 Fev 2019, 21:59
Agradeceu: 206 vezes
Agradeceram: 986 vezes
Mai 2019 30 14:05

Re: Campo magnético(UFT-2019/2)

Mensagem por Planck »

Olá Fotoeletrico,

Para o campo magnético no centro da espira ser nulo, precisamos que o campo magnético gerado pelo fio, distante [tex3]d[/tex3] do centro da espira, seja igual ao campo magnético gerado pela espira. Ou seja:

[tex3]B_{\text{espira}} = B_{\text{fio}}[/tex3]

Portanto:

[tex3]\frac{\mu_0 \cdot i_1}{2\cdot r} = \frac{\mu_0 \cdot i_2}{2 \cdot \pi \cdot d}[/tex3]

No entanto, podemos dizer que:

[tex3]i_1 = \frac{V_1}{R_1}[/tex3]

E, também:

[tex3]i_2 = \frac{V_2}{R_2}[/tex3]

Logo:

[tex3]\frac{\mu_0 \cdot V_1}{2\cdot r \cdot R_1} = \frac{\mu_0 \cdot V_2}{2 \cdot \pi \cdot d \cdot R_2}[/tex3]

Agora, vamos isolar [tex3]\frac{R_2}{R_1}[/tex3]:

[tex3]\frac{R_2}{R_1} = \frac{{\color{red}\cancel{{\color{black}2}}} \cdot r \cdot {\color{red}\cancel{{\color{black}\mu_0}}} \cdot {\color{red}\cancel{{\color{black}V_2}}}}{{\color{red}\cancel{{\color{black}2}}} \cdot \pi \cdot d \cdot {\color{red}\cancel{{\color{black}\mu_0}}} \cdot {\color{red}\cancel{{\color{black}V_2}}}}[/tex3]

Logo:

[tex3]{\color{forestgreen}\boxed{\frac{R_2}{R_1} = \frac{r}{\pi \cdot d}}}[/tex3]
Editado pela última vez por Planck em 30 Mai 2019, 14:05, em um total de 1 vez.
Responder
  • Tópicos Semelhantes
    Resp.
    Exibições
    Últ. msg

Voltar para “Física III”