• 🔴 [ENEM 2025 PPL Live 05] Matemática - Resolução de 156 até 160
  • 🔴 [ENEM 2025 PPL Live 04] Matemática - Resolução de 151 até 155
  • 🔴 [ENEM 2025 PPL Live 03] Matemática - Resolução de 146 até 150
  • 🔴 [ENEM 2025 PPL Live 02] Matemática - Resolução de 141 até 145
  • 🔴 [ENEM 2025 PPL Live 01] Matemática - Resolução de 136 até 140
  • 🔴 [ENEM 2025 Belém Live 09] Matemática - Resolução de 176 até 180

Química Orgânica(UFPR – 2017) Tautomeira Tópico resolvido

Estamos a procura de moderadores para os fóruns de Química.
Se for do seu interesse, envie uma mensagem para o Prof. Caju
Avatar do usuário
anastacialina Offline
1 - Trainee
Mensagens: 446
Registrado em: 26 Abr 2020, 14:22
Jun 2020 21 14:22

(UFPR – 2017) Tautomeira

Mensagem por anastacialina »

Oi, gente. Sup 8). Seria válido dizer que poderia ser incluso no gabarito o meu tautômero? Eu até sei que esse composto existe¹, mas não sei se ele pode existir em equilíbrio advindo da tautomeria da ciclohexan-1,3,5-triona.
Eis o composto:
30.png
30.png (5.76 KiB) Exibido 4465 vezes
¹ <https://en.wikipedia.org/wiki/Phloroglucinol>
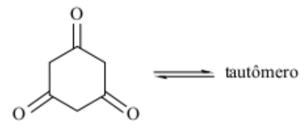
UFPR 2017 — Isomeria é o fenômeno associado quando mais de uma substância apresenta a mesma fórmula molecular, mas difere estruturalmente quanto à disposição dos átomos na molécula. Entre as possibilidades de ocorrência desse fenômeno, as isomerias de função e geométrica são muito importantes na química orgânica. A tautomeria é um caso particular de isomeria de função, envolvendo um enol (R—CH=C(OH)—R) que se encontra em equilíbrio com seu tautômero carbonilado (R—CH₂—C(O)—R). A isomeria geométrica, por sua vez, depende da disposição relativa dos átomos ligados aos carbonos de uma ligação dupla carbono-carbono, conhecido como isomeria cis-trans.

a) A ciclohexan-1,3,5-triona, mostrada a seguir, possui um tautômero. Apresente a estrutura do composto presente em equilíbrio.
26.png
26.png (15.3 KiB) Exibido 4465 vezes
b) Os ácidos fumárico e maleico são isômeros geométricos que possuem fórmula molecular HO₂C—HC=CH—CO₂H. O ácido fumárico é o isômero trans. Apresente as fórmulas estruturais espacias (notação em bastão) dos ácidos fumárico e maleico. Indique claramente a geometria e identifique as moléculas do ácido fumárico e do maleico.

PS.: tem o pequeno errinho o gabarito. Carbono fazendo 5 ligações.

Gabarito:
27.png
27.png (196.76 KiB) Exibido 4465 vezes
28.png
28.png (88.3 KiB) Exibido 4465 vezes
Editado pela última vez por anastacialina em 21 Jun 2020, 14:23, em um total de 1 vez.
Trabalhar e estudar pro ITA não rola! :( Mas vou continuar a estudar, simplesmente estudar, talvez não pro ITA. Em qualquer caso não jogarei fora essas horas de estudo. Damn it!
Avatar do usuário
Ósmio Offline
5 - Mestre
Mensagens: 1230
Registrado em: 03 Abr 2020, 00:07
Localização: Nova Iguaçu - Rio de Janeiro
Agradeceram: 13 vezes
Jun 2020 25 10:40

Re: (UFPR – 2017) Tautomeira

Mensagem por Ósmio »

Olá anastacialina,

Não se pode existir equilíbrio tautomérico com o composto que você apresentou porque ele apresenta ressonância por ter um anel benzênico. Seria energeticamente desfavorável você romper a aromaticidade do composto para voltar a formar a triona. Por isso, o equilíbrio só ocorre com 1 cetona indo a enol por vez.
Avatar do usuário
anastacialina Offline
1 - Trainee
Mensagens: 446
Registrado em: 26 Abr 2020, 14:22
Jun 2020 25 17:50

Re: (UFPR – 2017) Tautomeira

Mensagem por anastacialina »

Antes que alguém venha me condenar: eu sei que quem escreve a Wikipédia somos nós. Então ela não possui tanto rigor assim. Afinal qualquer pessoa pode editá-la.
@Ósmio, obrigado por responder. Mas um colega aqui do fórum pediu para eu dar uma olhada nessa página aqui: https://pt.wikipedia.org/wiki/Floroglucinol
Estranhamente — ou não — é apresentado que a ciclohexan-1,3,5-triona tem como tautômero o benzeno-1,3,5-triol. Primeiro parágrafo, lá está. Você acha que estaria errado?
Trabalhar e estudar pro ITA não rola! :( Mas vou continuar a estudar, simplesmente estudar, talvez não pro ITA. Em qualquer caso não jogarei fora essas horas de estudo. Damn it!
Avatar do usuário
Ósmio Offline
5 - Mestre
Mensagens: 1230
Registrado em: 03 Abr 2020, 00:07
Localização: Nova Iguaçu - Rio de Janeiro
Agradeceram: 13 vezes
Jun 2020 26 13:03

Re: (UFPR – 2017) Tautomeira

Mensagem por Ósmio »

anastacialina,

Eu acho que está correto. Apesar da aromaticidade, ocorre tautomerismo. Eu inicialmente tive a mesma resposta que você, mas ao ver o gabarito tentei encontrar alguma justificativa para só haver 1 por vez. Desculpa por ter confiado no gabarito.
Avatar do usuário
gatsssby Offline
iniciante
Mensagens: 4
Registrado em: 29 Mai 2023, 19:34
Ago 2023 17 22:48

Re: (UFPR – 2017) Tautomeira

Mensagem por gatsssby »

Sei que estou bem atrasado mas gostaria de ajudar quem mais tiver essa dúvida.

A resposta da anastacialina infelizmente não está correta pois a tautomeria segue a seguinte regra:
o tautômero de um enol primário sempre será um aldeído
o tautômero de um enol secundário sempre será uma cetona
e vice versa.

Como o composto dado é uma cetona, seu tautômero será um enol secundário. (Hidroxila ligada a um carbono secundário insaturado)

E, é importante sempre lembrar que, em uma fórmula estrutural, quando pudermos mudar a posição dos elétrons sem mudar a posição dos átomos (anel aromático, por exemplo), a estrutura real não será nenhuma das estruturas obtidas, mas sim um híbrido de ressonância daquelas estruturas.
(Ou seja, na prática, não são ligações duplas intercaladas, mas sim um híbrido entre ligações simples e duplas, o que não configura um enol secundário, apesar da aparência)
Responder
  • Tópicos Semelhantes
    Resp.
    Exibições
    Últ. msg

Voltar para “Química Orgânica”