• 🔴 [ENEM 2025 PPL Live 05] Matemática - Resolução de 156 até 160
  • 🔴 [ENEM 2025 PPL Live 04] Matemática - Resolução de 151 até 155
  • 🔴 [ENEM 2025 PPL Live 03] Matemática - Resolução de 146 até 150
  • 🔴 [ENEM 2025 PPL Live 02] Matemática - Resolução de 141 até 145
  • 🔴 [ENEM 2025 PPL Live 01] Matemática - Resolução de 136 até 140
  • 🔴 [ENEM 2025 Belém Live 09] Matemática - Resolução de 176 até 180

IME/ITA(IME) Fórmula Estrutural Tópico resolvido

Aqui deverão ser postadas questões desses vestibulares e de outras instituições militares (EN, CN, EsPCEx etc.).
Avatar do usuário
EngHaw Offline
Pleno
Mensagens: 61
Registrado em: 28 Mar 2019, 09:22
Jun 2020 28 10:52

(IME) Fórmula Estrutural

Mensagem por EngHaw »

Escreva a fórmula estrutural plana do produto principal de cada uma das reações representadas abaixo:

[tex3]\text{a})\ \text{A}\xrightarrow{\text{KOH}}\begin{array}{cc}

\begin{array}{|c|}
\hline\hspace{10pt} \\
\hspace{75pt} \\ \hline
\end{array}

\end{array}
[/tex3]

[tex3]\text{b})\ \text{CH3CH2-OH}\rightarrow\begin{array}{cc}

\begin{array}{|c|}
\hline\hspace{10pt} \\
\hspace{75pt} \\ \hline
\end{array}

\end{array}
[/tex3]

[tex3]\text{c})\ \text{[Na+][-HC(COOC2H5)2]+CH3CH2-Br}\xrightarrow[\text{éter etílico anidro}]{}\begin{array}{cc}

\begin{array}{|c|}
\hline\hspace{10pt} \\
\hspace{75pt} \\ \hline
\end{array}

\end{array}
[/tex3]

[tex3]\text{d})\ \text{B}\xrightarrow{\text{HBr}}\begin{array}{cc}

\begin{array}{|c|}
\hline\hspace{10pt} \\
\hspace{75pt} \\ \hline
\end{array}

\end{array}
[/tex3]

[tex3]\text{e})\ \text{C}\xrightarrow[\text{Luz}]{\text{Cl2}}\begin{array}{cc}

\begin{array}{|c|}
\hline\hspace{10pt} \\
\hspace{75pt} \\ \hline
\end{array}

\end{array}
[/tex3]

[tex3]\text{f})\ \text{D}\xrightarrow[\text{Luz}]{\text{Br2}}\begin{array}{cc}

\begin{array}{|c|}
\hline\hspace{10pt} \\
\hspace{75pt} \\ \hline
\end{array}

\end{array}
[/tex3]

[tex3]\text{g})\ \text{E}\xrightarrow[\Delta]{\text{H2SO4 conc}}\begin{array}{cc}

\begin{array}{|c|}
\hline\hspace{10pt} \\
\hspace{75pt} \\ \hline
\end{array}

\end{array}
[/tex3]

[tex3]\text{h})\ \text{F}\xrightarrow{\text{KMnO4}}\begin{array}{cc}

\begin{array}{|c|}
\hline\hspace{10pt} \\
\hspace{75pt} \\ \hline
\end{array}

\end{array}
\xrightarrow{\text{H+}}\begin{array}{cc}

\begin{array}{|c|}
\hline\hspace{10pt} \\
\hspace{75pt} \\ \hline
\end{array}

\end{array}
[/tex3]

[tex3]\text{i})\ \text{G}\xrightarrow{\text{R-MgCl}}\begin{array}{cc}

\begin{array}{|c|}
\hline\hspace{10pt} \\
\hspace{75pt} \\ \hline
\end{array}

\end{array}
\xrightarrow{\text{H+,H2O}}\begin{array}{cc}

\begin{array}{|c|}
\hline\hspace{10pt} \\
\hspace{75pt} \\ \hline
\end{array}

\end{array}
[/tex3]

[tex3]\text{j})\ \text{H+I}\xrightarrow{\text{NaOH aquoso}}\begin{array}{cc}

\begin{array}{|c|}
\hline\hspace{10pt} \\
\hspace{75pt} \\ \hline
\end{array}

\end{array}
[/tex3]

Resposta

NÃO TENHO o gabarito
OBSERVAÇÃO: no item C o primeiro reagente é um composto iônico constituído de um cátion [Na+] e um ânion [HC(COOC2H5)2]-

A)
IME 1991 ENUNCIADOS 9q A.png
IME 1991 ENUNCIADOS 9q A.png (8.33 KiB) Exibido 2251 vezes
B)
IME 1991 ENUNCIADOS 9q B.png
IME 1991 ENUNCIADOS 9q B.png (26.99 KiB) Exibido 2251 vezes
C)
IME 1991 ENUNCIADOS 9q C.png
IME 1991 ENUNCIADOS 9q C.png (24.89 KiB) Exibido 2251 vezes
D)
IME 1991 ENUNCIADOS 9q D.png
IME 1991 ENUNCIADOS 9q D.png (18.16 KiB) Exibido 2251 vezes
E)
IME 1991 ENUNCIADOS 9q E.png
IME 1991 ENUNCIADOS 9q E.png (60.86 KiB) Exibido 2251 vezes
F)
IME 1991 ENUNCIADOS 9q F.png
IME 1991 ENUNCIADOS 9q F.png (100.04 KiB) Exibido 2251 vezes
G)
IME 1991 ENUNCIADOS 9q G.png
IME 1991 ENUNCIADOS 9q G.png (23.1 KiB) Exibido 2251 vezes
H)
IME 1991 ENUNCIADOS 9q H.png
IME 1991 ENUNCIADOS 9q H.png (7.54 KiB) Exibido 2251 vezes
I)
IME 1991 ENUNCIADOS 9q i.png
IME 1991 ENUNCIADOS 9q i.png (121.44 KiB) Exibido 2251 vezes
Avatar do usuário
Ósmio Offline
5 - Mestre
Mensagens: 1230
Registrado em: 03 Abr 2020, 00:07
Localização: Nova Iguaçu - Rio de Janeiro
Agradeceram: 13 vezes
Jun 2020 28 21:29

Re: (IME) Fórmula Estrutural

Mensagem por Ósmio »

Olá EngHaw,

Na segunda reação, qual o outro reagente? De que ano é essa prova?
Avatar do usuário
EngHaw Offline
Pleno
Mensagens: 61
Registrado em: 28 Mar 2019, 09:22
Jun 2020 29 10:14

Re: (IME) Fórmula Estrutural

Mensagem por EngHaw »

Ósmio escreveu: 28 Jun 2020, 21:29 Olá EngHaw,

Na segunda reação, qual o outro reagente? De que ano é essa prova?
Ósmio, não há outro reagente, é a 9.ª questão da prova de 1991, mas ficou estranho mesmo, olhei no original e está assim mesmo, deve estar faltando alguma coisa em cima da seta, poderia ser oxidação do álcool?
Avatar do usuário
Ósmio Offline
5 - Mestre
Mensagens: 1230
Registrado em: 03 Abr 2020, 00:07
Localização: Nova Iguaçu - Rio de Janeiro
Agradeceram: 13 vezes
Jun 2020 29 11:06

Re: (IME) Fórmula Estrutural

Mensagem por Ósmio »

EngHaw,
EngHaw escreveu: 29 Jun 2020, 10:14 poderia ser oxidação do álcool?
Pode ser, vou fazer a questão me baseando nisso!
Avatar do usuário
Ósmio Offline
5 - Mestre
Mensagens: 1230
Registrado em: 03 Abr 2020, 00:07
Localização: Nova Iguaçu - Rio de Janeiro
Agradeceram: 13 vezes
Jun 2020 29 12:37

Re: (IME) Fórmula Estrutural

Mensagem por Ósmio »

EngHaw,

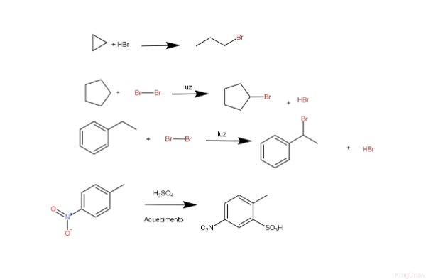
Segue as reações. Na primeira, pela estequiometria, seria formação de um hidrato, mas, desconsiderando estequiometria, em meio básico também pode ocorrer condensação aldólica, então escrevi os dois. Ciclo com até 3 carbonos sofrem adição por conta da tensão angular do anel que aumenta a reatividade, já os de 5 para cima até 7, se não me engano, são estáveis e sofrem substituição.
20200629_123401.jpg
20200629_123401.jpg (11.17 KiB) Exibido 2216 vezes
KingDraw200605001540(1).JPEG
KingDraw200605001540(1).JPEG (11.98 KiB) Exibido 2216 vezes
KingDraw200612222931(1).JPEG
KingDraw200612222931(1).JPEG (12.04 KiB) Exibido 2216 vezes
Editado pela última vez por Ósmio em 29 Jun 2020, 12:40, em um total de 1 vez.
Responder
  • Tópicos Semelhantes
    Resp.
    Exibições
    Últ. msg

Voltar para “IME/ITA”