• 🔴 [ENEM 2025 PPL Live 06] Matemática - Resolução de 161 até 165
  • 🔴 [ENEM 2025 PPL Live 05] Matemática - Resolução de 156 até 160
  • 🔴 [ENEM 2025 PPL Live 04] Matemática - Resolução de 151 até 155
  • 🔴 [ENEM 2025 PPL Live 03] Matemática - Resolução de 146 até 150
  • 🔴 [ENEM 2025 PPL Live 02] Matemática - Resolução de 141 até 145
  • 🔴 [ENEM 2025 PPL Live 01] Matemática - Resolução de 136 até 140

IME/ITA(IME) Fórmula Estrutural Tópico resolvido

Aqui deverão ser postadas questões desses vestibulares e de outras instituições militares (EN, CN, EsPCEx etc.).
Avatar do usuário
EngHaw Offline
Pleno
Mensagens: 61
Registrado em: 28 Mar 2019, 09:22
Jun 2020 28 19:43

(IME) Fórmula Estrutural

Mensagem por EngHaw »

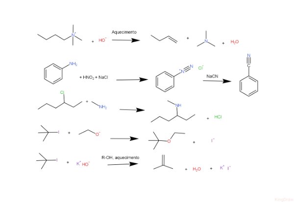
Complete as equações abaixo dando a fórmula estrutural plana do(s) produtos(s) orgânico(s) de cada reação:

[tex3]\text{a})\ \text{[CH3-CH2-CH2-CH2-N-(CH3)3+]}+\text{OH-}\xrightarrow{\Delta}\begin{array}{cc}

\begin{array}{|c|}
\hline\hspace{10pt} \\
\hspace{75pt} \\ \hline
\end{array}

\end{array}
[/tex3]

[tex3]\text{b})\ \text{A}+\text{HNO}_2+\text{NaCl}\xrightarrow{\text{NaCN}}\begin{array}{cc}

\begin{array}{|c|}
\hline\hspace{10pt} \\
\hspace{75pt} \\ \hline
\end{array}

\end{array}
[/tex3]

[tex3]\text{c})\ \text{B}+\text{CH}_3\text{NH}_2\rightarrow\begin{array}{cc}

\begin{array}{|c|}
\hline\hspace{10pt} \\
\hspace{75pt} \\ \hline
\end{array}

\end{array}
[/tex3]

[tex3]\text{d})\ \text{C}+\text{[CH3-CH2-O-]}\text{[Na+]}\rightarrow\begin{array}{cc}

\begin{array}{|c|}
\hline\hspace{10pt} \\
\hspace{75pt} \\ \hline
\end{array}

\end{array}
[/tex3]

[tex3]\text{e})\ \text{C}+\text{KOH}\xrightarrow[\Delta]{\text{Álcool}}\begin{array}{cc}

\begin{array}{|c|}
\hline\hspace{10pt} \\
\hspace{75pt} \\ \hline
\end{array}

\end{array}
[/tex3]

Resposta

NÃO TENHO o gabarito
OBSERVAÇÃO: no item d o segundo reagente é um composto iônico constituído de um cátion [Na+] e um ânion [CH3-CH2-O]-

A)
IME 1993 ENUNCIADOS 10q A.png
IME 1993 ENUNCIADOS 10q A.png (25.29 KiB) Exibido 1917 vezes
B)
IME 1993 ENUNCIADOS 10q B.png
IME 1993 ENUNCIADOS 10q B.png (42.43 KiB) Exibido 1917 vezes
C)
IME 1993 ENUNCIADOS 10q C.png
IME 1993 ENUNCIADOS 10q C.png (33.88 KiB) Exibido 1917 vezes
Avatar do usuário
Ósmio Offline
5 - Mestre
Mensagens: 1230
Registrado em: 03 Abr 2020, 00:07
Localização: Nova Iguaçu - Rio de Janeiro
Agradeceram: 13 vezes
Jun 2020 29 13:56

Re: (IME) Fórmula Estrutural

Mensagem por Ósmio »

Olá EngHaw,
KingDraw200612222931(1).JPEG
KingDraw200612222931(1).JPEG (14.9 KiB) Exibido 1905 vezes
Na reação 2, forma-se um sal de diazônio, mas, como há a presença de cianeto de sódio, acredito que há substituição, formando cianeto de fenila e gerando gás nitrogênio. Não representei alguns subprodutos de algumas reações.
Responder
  • Tópicos Semelhantes
    Resp.
    Exibições
    Últ. msg

Voltar para “IME/ITA”