• 🔴 [ENEM 2025 PPL Live 06] Matemática - Resolução de 161 até 165
  • 🔴 [ENEM 2025 PPL Live 05] Matemática - Resolução de 156 até 160
  • 🔴 [ENEM 2025 PPL Live 04] Matemática - Resolução de 151 até 155
  • 🔴 [ENEM 2025 PPL Live 03] Matemática - Resolução de 146 até 150
  • 🔴 [ENEM 2025 PPL Live 02] Matemática - Resolução de 141 até 145
  • 🔴 [ENEM 2025 PPL Live 01] Matemática - Resolução de 136 até 140

Química OrgânicaUfam (2018) - Química Orgânica Tópico resolvido

Estamos a procura de moderadores para os fóruns de Química.
Se for do seu interesse, envie uma mensagem para o Prof. Caju
Avatar do usuário
Albe Offline
Elite
Mensagens: 161
Registrado em: 29 Fev 2020, 20:11
Agradeceu: 4 vezes
Agradeceram: 2 vezes
Jun 2020 30 14:48

Ufam (2018) - Química Orgânica

Mensagem por Albe »

Em 2018, um Projeto de Lei (PL) em tramitação no
congresso nacional tem despertado o interesse da
sociedade e também muita polêmica, a ponto de ser
denominado popularmente de “PL do veneno”. Esse
Projeto de Lei No. 6200/2002, de autoria do Senador
Blairo Maggi – SPART/MT, “altera os arts. 3º e 9º da
Lei nº 7.802, de 11 de julho de 1989, que dispõe
sobre a pesquisa, a experimentação, a produção, a
embalagem e rotulagem, o transporte, o
armazenamento, a comercialização, a propaganda
comercial, a utilização, a importação, a exportação, o
destino final dos resíduos e embalagens, o registro, a classificação, o controle, a inspeção e a fiscalização
de agrotóxicos, seus componentes e afins, e dá
outras providências.” (http://www.camara.gov.br/proposicoesWeb/).
A polêmica do “PL do veneno” está centrada na
alteração da designação nominal de agrotóxicos ou defensivos agrícolas para fitossanitários, o que "desburocratizaria” a comercialização desses
insumos químicos (www.g1.com). Caso seja
aprovado, vários produtos químicos, atualmente
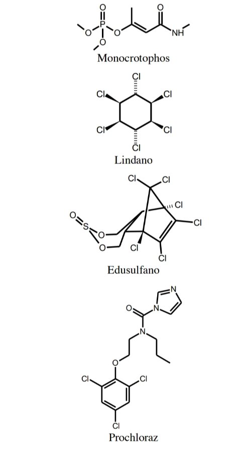
proibidos no Brasil, poderiam ser comercializados, bem como utilizados. A seguir são apresentados quatro estruturas químicas e seus respectivos nomes comerciais.
20200630_134456.jpg
20200630_134456.jpg (25.9 KiB) Exibido 1524 vezes
A respeito das estruturas químicas em destaque,
assinale a alternativa CORRETA:

a) A estrutura química do Lindano evidencia seis
carbonos assimétricos, o que confere atividade
óptica a essa molécula.

b) O Edusulfano é um organoclorado, cuja atividade óptica se deve à presença dos carbonos assimétricos de hibridização sp3

c) O Monocrotophos é um organofosforado derivado do ácido fosfórico, cuja ligação [tex3]\pi [/tex3] entre dois carbonos proporciona um tipo de isomeria geométrica.

d) O Prochloraz é um organoclorado de fórmula
molecular C14H16Cl3N3O2 e massa molar
aproximada de 362 g ∙ [tex3]moℓ^{-1}[/tex3].

e) O Prochloraz apresenta três funções orgânicas em sua estrutura.
Resposta

C
Poderiam me explicar porque a alternativa E) está errada? Desde já, agradeço
Avatar do usuário
Ósmio Offline
5 - Mestre
Mensagens: 1230
Registrado em: 03 Abr 2020, 00:07
Localização: Nova Iguaçu - Rio de Janeiro
Agradeceram: 13 vezes
Jul 2020 06 23:12

Re: Ufam (2018) - Química Orgânica

Mensagem por Ósmio »

Albe,

Acredito que exista 4 grupos funcionais: éter, haleto orgânico, carbamida e imina (amina insaturada).
Avatar do usuário
Albe Offline
Elite
Mensagens: 161
Registrado em: 29 Fev 2020, 20:11
Agradeceu: 4 vezes
Agradeceram: 2 vezes
Jul 2020 07 16:52

Re: Ufam (2018) - Química Orgânica

Mensagem por Albe »

@Ósmio, muito obrigado pela resposta!!!
Responder
  • Tópicos Semelhantes
    Resp.
    Exibições
    Últ. msg

Voltar para “Química Orgânica”