
- 20200708_004002.jpg (73.58 KiB) Exibido 1234 vezes
Posso estar errado, mas vamos lá
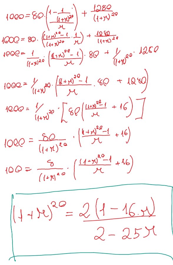
Cara, simplificando ao máximo o que eu pude, eu cheguei em (1+r)²⁰ = 2(1 - 16.r)/(2 - 25r). O desenvolvimento do penúltimo pro último passo não está na imagem, mas a conclusão é aquela, de qualquer maneira.
Analisando essa equação, dá, com certeza, pra afirmar que (1+r)²⁰ nunca vai chegar a ser igual a 2(1 -16r)/(2 -25r), exceto em um caso. Você pode começar testando por valores baixos, se quiser. Ao passo que você vai testando, o lado esquerdo da equacão vai ficar MUITO maior que o direito, em alguns casos (3 ou 2, se não me engano), o lado direito chega a ser maior que esquerdo. O fato do expoente de (1+r) ser 20 (par) facilita muito enxergar isso, já que qualquer número (positivo ou negativo) elevado a outro par é positivo.
No parágrafo acima, eu disse que (1+r)²⁰ seria igual a 2(1 - 16.r)/(2 - 25.r) em apenas um caso. Acredito que seja tranquilo de enxergar que esse caso é r= 0. Entretanto, a condição para a equação dada existir é, justamente, r ≠ 0, pois há r no denominador do fator que multiplica 80. Se a única solução possível era 0, mas r tem de ser diferente de 0, então a equação é impossível.
Sobre a solução que o Excel encontrou, quando eu aplico o valor r = 6,22%, o valor da expressão passa longe 1000, creio que não esteja correta.
Agora, uma coisa estranha que eu notei. Se (1+r)²⁰ = 2(1 -16.r)/(2 - 25r), então podemos substuir esse valor na expressão original. Ao fazermos isso, você encontrará duas expressões idênticas em cada membro com a icognita r, ou seja, dessa forma, QUALQUER valor de r satisfaz a expressão. A equação deixa de ser impossível e torna-se uma equação identidade, admitindo infinitas soluções.
E eu realmente não faço ideia de como isso é possível, então eu tenho uma equação impossível e identidade ao mesmo tempo? Enfim, acredito que este tópico mereça outras conclusões além das que eu apresentei aqui, para realmente termos um veredito. Mas o que realmente me intriga é essa última parte, da equação ser impossível e identidade ao mesmo tempo... Talvez eu tenha feito alguma coisa que não poderia ter feito, enfim. Me corrijam se estiver errado totalmente ou em partes, etc.
De qualquer modo, tentei deixar minha contribuição. Espero que seja útil
