• 🔴 [ENEM 2025 PPL Live 06] Matemática - Resolução de 161 até 165
  • 🔴 [ENEM 2025 PPL Live 05] Matemática - Resolução de 156 até 160
  • 🔴 [ENEM 2025 PPL Live 04] Matemática - Resolução de 151 até 155
  • 🔴 [ENEM 2025 PPL Live 03] Matemática - Resolução de 146 até 150
  • 🔴 [ENEM 2025 PPL Live 02] Matemática - Resolução de 141 até 145
  • 🔴 [ENEM 2025 PPL Live 01] Matemática - Resolução de 136 até 140

Química Orgânicanomenclatura de hidrocarbonetos Tópico resolvido

Estamos a procura de moderadores para os fóruns de Química.
Se for do seu interesse, envie uma mensagem para o Prof. Caju
Avatar do usuário
GLAYDSON Offline
Elite
Mensagens: 186
Registrado em: 06 Mar 2019, 13:35
Agradeceram: 7 vezes
Jul 2020 25 13:05

nomenclatura de hidrocarbonetos

Mensagem por GLAYDSON »

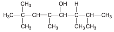
Os compostos orgânicos apresentam infinitas aplicações, e sua nomenclatura oficial começou a ser pensada em 1892, em um congresso internacional, em Genebra. Após várias reuniões, surgiu a sigla, em inglês, IUPAC (União Internacional de Química Pura e Aplicada), que segue os seguintes princípios: I. Cada composto deve ter um único nome que o diferencie dos demais. II. Dada a fórmula estrutural de um composto, deve ser possível elaborar seu nome, e vice-versa.
dvbjhgfdsrt.png
dvbjhgfdsrt.png (17.27 KiB) Exibido 2842 vezes
Com relação às regras de nomenclatura oficial (IUPAC), o composto anterior é chamado de

a) 2,3,5,6,6-pentametil-octan-5-ol.
b) 2,3,5,6,6-pentametiloct-4-en-5-ol.
c)2,2,4,6,7-pentametiloct-3-en-5-ol.
d) 2,3,5,7,7-pentametiloct-5-en-4-ol.
e) 2,3,5,6,6-pentametiloct-4-en-5-al.
Avatar do usuário
Estudanomade Offline
Pleno
Mensagens: 90
Registrado em: 25 Mai 2020, 18:39
Jul 2020 25 15:11

Re: nomenclatura de hidrocarbonetos

Mensagem por Estudanomade »

Gabarito é a letra C
Avatar do usuário
Ósmio Offline
5 - Mestre
Mensagens: 1230
Registrado em: 03 Abr 2020, 00:07
Localização: Nova Iguaçu - Rio de Janeiro
Agradeceram: 13 vezes
Jul 2020 25 18:38

Re: nomenclatura de hidrocarbonetos

Mensagem por Ósmio »

Estudanomade,

Não é porque a prioridade é do grupo funcional. Dessa forma, o gabarito é D. Por acaso, existe um composto semelhante a esse neste link:

https://pubchem.ncbi.nlm.nih.gov/compound/58590930

Observe que aquele que domina a nomenclatura é o grupo funcional, ou seja, álcool.
Editado pela última vez por Ósmio em 25 Jul 2020, 18:41, em um total de 1 vez.
Responder
  • Tópicos Semelhantes
    Resp.
    Exibições
    Últ. msg

Voltar para “Química Orgânica”