Ensino Fundamental ⇒ (Viradão Colégio Naval/EPCAR) PDF
Set 2020
18
22:03
(Viradão Colégio Naval/EPCAR) PDF
Questões direcionadas.
Deixem a resolução aqui no tópico.
PDF: https://drive.google.com/file/d/1S48ACZ ... sp=sharing
Deixem a resolução aqui no tópico.
PDF: https://drive.google.com/file/d/1S48ACZ ... sp=sharing
- careca Offline
- Mensagens: 676
- Registrado em: 28 Fev 2020, 12:34
- Localização: Rio de Janeiro
- Agradeceu: 23 vezes
- Agradeceram: 6 vezes
Set 2020
18
22:21
Re: (Viradão Colégio Naval/EPCAR) PDF
Questão 1 é grande kkk. Vou fazer ela e enviar por foto. Fazer isso tudo em tex3 vai demorar horas
Editado pela última vez por careca em 18 Set 2020, 22:22, em um total de 1 vez.
Por que você quer tanto isso? - Porque disseram que eu não conseguiria - Homens de Honra
- careca Offline
- Mensagens: 676
- Registrado em: 28 Fev 2020, 12:34
- Localização: Rio de Janeiro
- Agradeceu: 23 vezes
- Agradeceram: 6 vezes
Set 2020
18
22:48
Re: (Viradão Colégio Naval/EPCAR) PDF
Afirmativas:
I Correta
II Incorreta ( observe que esse z não cortará com qualquer outro membro_
III Correta
IV Incorreta
V Incorreta
3 afirmativas não são verdadeiras
Gabarito = 3
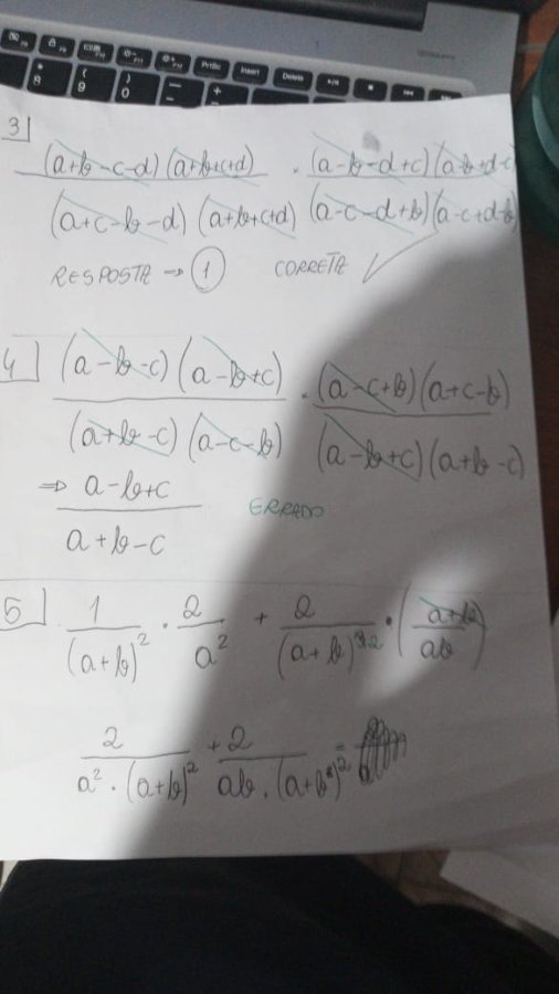
Resoluções em foto:
__________________________________________________________________________________________________________________________________
CN-EPCAR) Questão 2.
Se o par ordenado (x,y) é solução de:
[tex3]\begin{cases}
\sqrt{x+y} + \sqrt{x-y} = 5\sqrt{x^2-y^2}\\
\frac{2}{\sqrt{x+y}} - \frac{1}{\sqrt{x-y}} = 1
\end{cases}[/tex3]
Então o valor de 3x -7y é igual a:
a) 1/18
b) 1/17
c) 1/16
d) 1/15
e) 1/14
I Correta
II Incorreta ( observe que esse z não cortará com qualquer outro membro_
III Correta
IV Incorreta
V Incorreta
3 afirmativas não são verdadeiras
Gabarito = 3
Resoluções em foto:
__________________________________________________________________________________________________________________________________
CN-EPCAR) Questão 2.
Se o par ordenado (x,y) é solução de:
[tex3]\begin{cases}
\sqrt{x+y} + \sqrt{x-y} = 5\sqrt{x^2-y^2}\\
\frac{2}{\sqrt{x+y}} - \frac{1}{\sqrt{x-y}} = 1
\end{cases}[/tex3]
Então o valor de 3x -7y é igual a:
a) 1/18
b) 1/17
c) 1/16
d) 1/15
e) 1/14
Por que você quer tanto isso? - Porque disseram que eu não conseguiria - Homens de Honra
Set 2020
18
22:51
Re: (Viradão Colégio Naval/EPCAR) PDF
Top. Vou conferir a primeira
- Anexos
-
- lkxlkdslkd.jpg (46.86 KiB) Exibido 2494 vezes
Editado pela última vez por Epcar26 em 18 Set 2020, 22:55, em um total de 1 vez.
- careca Offline
- Mensagens: 676
- Registrado em: 28 Fev 2020, 12:34
- Localização: Rio de Janeiro
- Agradeceu: 23 vezes
- Agradeceram: 6 vezes
Set 2020
18
22:53
Re: (Viradão Colégio Naval/EPCAR) PDF
"O número daquelas que não são verdadeiras = número de falsas"
A alternativa 1 eu encontrei verdadeiro '-'
A alternativa 1 eu encontrei verdadeiro '-'
Por que você quer tanto isso? - Porque disseram que eu não conseguiria - Homens de Honra
Set 2020
18
22:57
Re: (Viradão Colégio Naval/EPCAR) PDF
Infelizmente o Rumo ao ITA não nos da o gabarito. Temos de ficar limitado as nossas resoluções. Eu concordo com o seu gabarito.Parece que dei mole aqui kkkkkkk. Pode ter certeza, o seu está certo.
- careca Offline
- Mensagens: 676
- Registrado em: 28 Fev 2020, 12:34
- Localização: Rio de Janeiro
- Agradeceu: 23 vezes
- Agradeceram: 6 vezes
Set 2020
18
23:10
Re: (Viradão Colégio Naval/EPCAR) PDF
Resolução da questão 2
GABARITO = (A)
GABARITO = (A)
Por que você quer tanto isso? - Porque disseram que eu não conseguiria - Homens de Honra
-
- Tópicos Semelhantes
- Resp.
- Exibições
- Últ. msg
-
- 6 Resp.
- 2295 Exibições
-
Últ. msg por Epcar26
-
- 2 Resp.
- 2359 Exibições
-
Últ. msg por Hanon
-
- 0 Resp.
- 1574 Exibições
-
Últ. msg por Prince
-
- 2 Resp.
- 2736 Exibições
-
Últ. msg por lixohumano123
![🔴 [ENEM 2025 PPL Live 06] Matemática - Resolução de 161 até 165](/cdn-cgi/image/width=200,dpr=2,quality=85,format=auto,metadata=none,onerror=redirect/https://img.youtube.com/vi/ucQZ6Qn91JM/mqdefault.jpg)
![🔴 [ENEM 2025 PPL Live 05] Matemática - Resolução de 156 até 160](/cdn-cgi/image/width=200,dpr=2,quality=85,format=auto,metadata=none,onerror=redirect/https://img.youtube.com/vi/m2T1rBKy2qU/mqdefault.jpg)
![🔴 [ENEM 2025 PPL Live 04] Matemática - Resolução de 151 até 155](/cdn-cgi/image/width=200,dpr=2,quality=85,format=auto,metadata=none,onerror=redirect/https://img.youtube.com/vi/1scCX1e_dZo/mqdefault.jpg)
![🔴 [ENEM 2025 PPL Live 03] Matemática - Resolução de 146 até 150](/cdn-cgi/image/width=200,dpr=2,quality=85,format=auto,metadata=none,onerror=redirect/https://img.youtube.com/vi/fD8ohgS6JKo/mqdefault.jpg)
![🔴 [ENEM 2025 PPL Live 02] Matemática - Resolução de 141 até 145](/cdn-cgi/image/width=200,dpr=2,quality=85,format=auto,metadata=none,onerror=redirect/https://img.youtube.com/vi/np7jAEKAjTE/mqdefault.jpg)
![🔴 [ENEM 2025 PPL Live 01] Matemática - Resolução de 136 até 140](/cdn-cgi/image/width=200,dpr=2,quality=85,format=auto,metadata=none,onerror=redirect/https://img.youtube.com/vi/vb1b6e7VXjw/mqdefault.jpg)