(UPE) O látex do sapotizeiro era usado como goma de mascar pelos maias e astecas, que o chamavam de chicle. Após a Segunda Guerra (1939-1945), as resinas naturais utilizadas no chiclete foram substituídas por substâncias sintetizadas a partir do refino do petróleo.
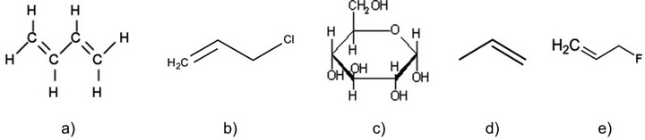
Assinale a alternativa que contém o monômero que se constitui como a principal matéria-prima de um dos produtos citados no texto.

- Polímeros.jpg (15.92 KiB) Exibido 5303 vezes
(O monômero do látex, pelo que me lembro, é o
isopreno. Não o vejo em nenhuma das alternativas... oO).
Editado pela última vez por
DaviBahia em 27 Nov 2013, 17:53, em um total de 1 vez.