• 🔴 [ENEM 2025 PPL Live 05] Matemática - Resolução de 156 até 160
  • 🔴 [ENEM 2025 PPL Live 04] Matemática - Resolução de 151 até 155
  • 🔴 [ENEM 2025 PPL Live 03] Matemática - Resolução de 146 até 150
  • 🔴 [ENEM 2025 PPL Live 02] Matemática - Resolução de 141 até 145
  • 🔴 [ENEM 2025 PPL Live 01] Matemática - Resolução de 136 até 140
  • 🔴 [ENEM 2025 Belém Live 09] Matemática - Resolução de 176 até 180

IME/ITA(AMAN) - Hidrostática Tópico resolvido

Aqui deverão ser postadas questões desses vestibulares e de outras instituições militares (EN, CN, EsPCEx etc.).
Avatar do usuário
Doug Offline
1 - Trainee
Mensagens: 709
Registrado em: 06 Mar 2008, 11:14
Localização: Elói Mendes - Minas Gerais
Agradeceu: 2 vezes
Agradeceram: 15 vezes
Ago 2008 10 17:36

(AMAN) - Hidrostática

Mensagem por Doug »

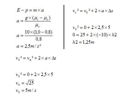
Um corpo de massa específica 0,800 g/cm³ é colocado a 5,00m de profundidade, no interior de um líquido de massa específica 1,0 g/cm³. Abandonando-se o corpo, cujo volume é 100 cm³, sendo g = 10 m/s², a altura máxima acima da superfície livre do líquido alcançada pelo corpo vale:
Obs.: Desprezar a viscosidade e a tensão superficial do líquido.
Resposta

1,25 m
Editado pela última vez por Doug em 10 Ago 2008, 17:36, em um total de 1 vez.
[OPA] - ^^

Unifei - Universidade Federal de Itajubá
Avatar do usuário
jeffson Offline
Pleno
Mensagens: 85
Registrado em: 13 Set 2008, 23:05
Localização: São Paulo
Agradeceu: 1 vez
Contato:
Out 2008 07 18:18

Re: (AMAN) - Hidrostática

Mensagem por jeffson »

Antes de tudo gostaria de agradecer a vocês do site por aprovar a minha participação e será uma honra estudar e aprimora meus conhecimento nele, Um grande abraço e que Deus proteja a todos.

1) no interior do liquido ,temos:
2°Lei de newton

2)Usando a equação de torricelli no trecho AB.

3)Usando equação de torricelli no trecho BC
Aman.jpg
Aman.jpg (8.31 KiB) Exibido 14248 vezes
lei.jpg
lei.jpg (13.79 KiB) Exibido 14247 vezes
Editado pela última vez por jeffson em 07 Out 2008, 18:18, em um total de 1 vez.
"A maravilhosa disposição e harmonia do universo só pode ter tido origem segundo o plano de um Ser que tudo sabe e tudo pode. Isto fica sendo a minha última e mais elevada descoberta."
Isaac Newton
Avatar do usuário
Lars Offline
Guru
Mensagens: 387
Registrado em: 19 Nov 2018, 16:02
Nov 2020 17 20:18

Re: (AMAN) - Hidrostática

Mensagem por Lars »

Alguém poderia me explicar a primeira passagem?
Ao isolar a aceleração, surgiram dois termos referentes a massa específica dos componentes, não entendi como eles surgiram.
Avatar do usuário
Planck Offline
5 - Mestre
Mensagens: 2863
Registrado em: 15 Fev 2019, 21:59
Agradeceu: 206 vezes
Agradeceram: 986 vezes
Nov 2020 17 20:33

Re: (AMAN) - Hidrostática

Mensagem por Planck »

Olá, Lars.

Observe:

[tex3]\mathrm{
E - P = m a \iff d_l v_cg - mg =ma
}[/tex3]

O volume do corpo pode ser relacionado com a densidade, [tex3]\mathrm{v_c=\frac{m}{d_c}}.[/tex3] Portanto:

[tex3]\mathrm{
d_l\frac{m}{d_c}g - mg =ma \iff g\(\frac{d_l}{d_c}-1\) = a
}[/tex3]

Deixando mais "bonito":

[tex3]\mathrm{
a= g\(\frac{d_l-dc}{d_c}\)
}[/tex3]
Avatar do usuário
Lars Offline
Guru
Mensagens: 387
Registrado em: 19 Nov 2018, 16:02
Nov 2020 24 13:47

Re: (AMAN) - Hidrostática

Mensagem por Lars »

Planck, perfeito.
Obrigado mestre
Responder
  • Tópicos Semelhantes
    Resp.
    Exibições
    Últ. msg

Voltar para “IME/ITA”