Bom dia
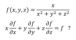
Verifique se a função a seguir, satisfaz a equação de derivadas parciais dada.
Ensino Superior ⇒ Derivadas Parciais (Satisfaz ou não satisfaz) Tópico resolvido
Nov 2020
18
12:03
Derivadas Parciais (Satisfaz ou não satisfaz)
- Anexos
-
- Alternativas
- 2222.png (43.42 KiB) Exibido 926 vezes
- Cardoso1979 Offline
- Mensagens: 4006
- Registrado em: 05 Jan 2018, 19:45
- Localização: Teresina- PI
- Agradeceu: 268 vezes
- Agradeceram: 1111 vezes
Nov 2020
18
20:08
Re: Derivadas Parciais (Satisfaz ou não satisfaz)
Observe
Uma solução:
Basta aplicar a regra da derivada do quociente, fica;
[tex3]\frac{\partial f}{\partial x}=\frac{x'.(x^2+y^2+z^2)-x.(x^2+y^2+z^2)'}{(x^2+y^2+z^2)^2}= \frac{1.(x^2+y^2+z^2)-x.(2x+0+0)}{(x^2+y^2+z^2)^2}[/tex3]
Logo,
[tex3]\frac{\partial f}{\partial x}= \frac{-x^2+y^2+z^2}{(x^2+y^2+z^2)^2}[/tex3].
[tex3]\frac{\partial f}{\partial y}=\frac{x'.(x^2+y^2+z^2)-x.(x^2+y^2+z^2)'}{(x^2+y^2+z^2)^2}= \frac{0.(x^2+y^2+z^2)-x.(0+2y+0)}{(x^2+y^2+z^2)^2}[/tex3]
Logo,
[tex3]\frac{\partial f}{\partial y}= \frac{-2xy}{(x^2+y^2+z^2)^2}[/tex3].
[tex3]\frac{\partial f}{\partial z}=\frac{x'.(x^2+y^2+z^2)-x.(x^2+y^2+z^2)'}{(x^2+y^2+z^2)^2}= \frac{0.(x^2+y^2+z^2)-x.(0+0+2z)}{(x^2+y^2+z^2)^2}[/tex3]
Logo,
[tex3]\frac{\partial f}{\partial z}= \frac{-2xz}{(x^2+y^2+z^2)^2}[/tex3].
Então,
[tex3]x.\frac{\partial f}{\partial x} + y.\frac{\partial f}{\partial y} + z.\frac{\partial f}{\partial z} = x.\frac{(-x^2+y^2+z^2)}{(x^2+y^2+z^2)^2} + y.\frac{(-2xy)}{(x^2+y^2+z^2)^2} + z.\frac{(-2xz)}{(x^2+y^2+z^2)^2}[/tex3]
Desenvolvendo, resulta
[tex3]x.\frac{\partial f}{\partial x} + y.\frac{\partial f}{\partial y} + z.\frac{\partial f}{\partial z} = \frac{-x.\cancel{(x^2+y^2+z^2)}}{(x^2+y^2+z^2).\cancel{(x^2+y^2+z^2)}}[/tex3]
[tex3]x.\frac{\partial f}{\partial x} + y.\frac{\partial f}{\partial y} + z.\frac{\partial f}{\partial z} = - \frac{x}{x^2+y^2+z^2} = -f[/tex3].
Portanto, podemos concluir que não satisfaz e [tex3]\frac{\partial f}{\partial z}= \frac{-2xz}{(x^2+y^2+z^2)^2}[/tex3] , alternativa d).
Excelente estudo!
Uma solução:
Basta aplicar a regra da derivada do quociente, fica;
[tex3]\frac{\partial f}{\partial x}=\frac{x'.(x^2+y^2+z^2)-x.(x^2+y^2+z^2)'}{(x^2+y^2+z^2)^2}= \frac{1.(x^2+y^2+z^2)-x.(2x+0+0)}{(x^2+y^2+z^2)^2}[/tex3]
Logo,
[tex3]\frac{\partial f}{\partial x}= \frac{-x^2+y^2+z^2}{(x^2+y^2+z^2)^2}[/tex3].
[tex3]\frac{\partial f}{\partial y}=\frac{x'.(x^2+y^2+z^2)-x.(x^2+y^2+z^2)'}{(x^2+y^2+z^2)^2}= \frac{0.(x^2+y^2+z^2)-x.(0+2y+0)}{(x^2+y^2+z^2)^2}[/tex3]
Logo,
[tex3]\frac{\partial f}{\partial y}= \frac{-2xy}{(x^2+y^2+z^2)^2}[/tex3].
[tex3]\frac{\partial f}{\partial z}=\frac{x'.(x^2+y^2+z^2)-x.(x^2+y^2+z^2)'}{(x^2+y^2+z^2)^2}= \frac{0.(x^2+y^2+z^2)-x.(0+0+2z)}{(x^2+y^2+z^2)^2}[/tex3]
Logo,
[tex3]\frac{\partial f}{\partial z}= \frac{-2xz}{(x^2+y^2+z^2)^2}[/tex3].
Então,
[tex3]x.\frac{\partial f}{\partial x} + y.\frac{\partial f}{\partial y} + z.\frac{\partial f}{\partial z} = x.\frac{(-x^2+y^2+z^2)}{(x^2+y^2+z^2)^2} + y.\frac{(-2xy)}{(x^2+y^2+z^2)^2} + z.\frac{(-2xz)}{(x^2+y^2+z^2)^2}[/tex3]
Desenvolvendo, resulta
[tex3]x.\frac{\partial f}{\partial x} + y.\frac{\partial f}{\partial y} + z.\frac{\partial f}{\partial z} = \frac{-x.\cancel{(x^2+y^2+z^2)}}{(x^2+y^2+z^2).\cancel{(x^2+y^2+z^2)}}[/tex3]
[tex3]x.\frac{\partial f}{\partial x} + y.\frac{\partial f}{\partial y} + z.\frac{\partial f}{\partial z} = - \frac{x}{x^2+y^2+z^2} = -f[/tex3].
Portanto, podemos concluir que não satisfaz e [tex3]\frac{\partial f}{\partial z}= \frac{-2xz}{(x^2+y^2+z^2)^2}[/tex3] , alternativa d).
Excelente estudo!
-
- Tópicos Semelhantes
- Resp.
- Exibições
- Últ. msg
-
- 2 Resp.
- 1502 Exibições
-
Últ. msg por csmarcelo
-
- 1 Resp.
- 620 Exibições
-
Últ. msg por Cardoso1979
-
- 1 Resp.
- 1697 Exibições
-
Últ. msg por mandrake
-
- 1 Resp.
- 1304 Exibições
-
Últ. msg por Karl Weierstrass
-
- 1 Resp.
- 7210 Exibições
-
Últ. msg por Karl Weierstrass
![🔴 [ENEM 2025 PPL Live 05] Matemática - Resolução de 156 até 160](/cdn-cgi/image/width=200,dpr=2,quality=85,format=auto,metadata=none,onerror=redirect/https://img.youtube.com/vi/m2T1rBKy2qU/mqdefault.jpg)
![🔴 [ENEM 2025 PPL Live 04] Matemática - Resolução de 151 até 155](/cdn-cgi/image/width=200,dpr=2,quality=85,format=auto,metadata=none,onerror=redirect/https://img.youtube.com/vi/1scCX1e_dZo/mqdefault.jpg)
![🔴 [ENEM 2025 PPL Live 03] Matemática - Resolução de 146 até 150](/cdn-cgi/image/width=200,dpr=2,quality=85,format=auto,metadata=none,onerror=redirect/https://img.youtube.com/vi/fD8ohgS6JKo/mqdefault.jpg)
![🔴 [ENEM 2025 PPL Live 02] Matemática - Resolução de 141 até 145](/cdn-cgi/image/width=200,dpr=2,quality=85,format=auto,metadata=none,onerror=redirect/https://img.youtube.com/vi/np7jAEKAjTE/mqdefault.jpg)
![🔴 [ENEM 2025 PPL Live 01] Matemática - Resolução de 136 até 140](/cdn-cgi/image/width=200,dpr=2,quality=85,format=auto,metadata=none,onerror=redirect/https://img.youtube.com/vi/vb1b6e7VXjw/mqdefault.jpg)
![🔴 [ENEM 2025 Belém Live 09] Matemática - Resolução de 176 até 180](/cdn-cgi/image/width=200,dpr=2,quality=85,format=auto,metadata=none,onerror=redirect/https://img.youtube.com/vi/krrZ-ei9zSY/mqdefault.jpg)