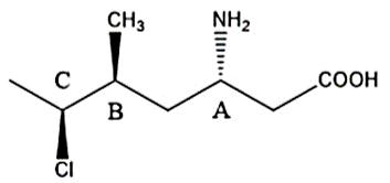
Determine as configurações dos carbonos quirais indicados, A, B e C na molécula apresentada a seguir, respectivamente. (Dados números atômicos: H = 1, C = 6; N = 7; O = 8; Cl = 17)
a) S, S, S.
b) R, R, R.
c) S, S, R.
d) R, R, S.
e) R, S, S.
Química Orgânica ⇒ Configuração de carbono quiral Tópico resolvido
- Ósmio Offline
- Mensagens: 1230
- Registrado em: 03 Abr 2020, 00:07
- Localização: Nova Iguaçu - Rio de Janeiro
- Agradeceram: 13 vezes
Jan 2021
14
14:29
Re: Configuração de carbono quiral
Olá FISMAQUIM,
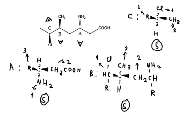
Fiz um esquema onde os olhos indicam a minha orientação pra olhar para cada carbono e fazer a projeção de Fischer. Dessa forma, podemos concluir que todos tem configuração S. Observe a imagem, espero que entenda pois está um pouco bagunçada. R nos desenhos indica a continuação da cadeia:
Fiz um esquema onde os olhos indicam a minha orientação pra olhar para cada carbono e fazer a projeção de Fischer. Dessa forma, podemos concluir que todos tem configuração S. Observe a imagem, espero que entenda pois está um pouco bagunçada. R nos desenhos indica a continuação da cadeia:
-
- Tópicos Semelhantes
- Resp.
- Exibições
- Últ. msg
-
- 1 Resp.
- 1629 Exibições
-
Últ. msg por MateusQqMD
-
- 1 Resp.
- 1291 Exibições
-
Últ. msg por Ósmio
-
- 0 Resp.
- 913 Exibições
-
Últ. msg por elidecoline
-
- 1 Resp.
- 1419 Exibições
-
Últ. msg por MateusQqMD
![🔴 [ENEM 2025 PPL Live 06] Matemática - Resolução de 161 até 165](/cdn-cgi/image/width=200,dpr=2,quality=85,format=auto,metadata=none,onerror=redirect/https://img.youtube.com/vi/ucQZ6Qn91JM/mqdefault.jpg)
![🔴 [ENEM 2025 PPL Live 05] Matemática - Resolução de 156 até 160](/cdn-cgi/image/width=200,dpr=2,quality=85,format=auto,metadata=none,onerror=redirect/https://img.youtube.com/vi/m2T1rBKy2qU/mqdefault.jpg)
![🔴 [ENEM 2025 PPL Live 04] Matemática - Resolução de 151 até 155](/cdn-cgi/image/width=200,dpr=2,quality=85,format=auto,metadata=none,onerror=redirect/https://img.youtube.com/vi/1scCX1e_dZo/mqdefault.jpg)
![🔴 [ENEM 2025 PPL Live 03] Matemática - Resolução de 146 até 150](/cdn-cgi/image/width=200,dpr=2,quality=85,format=auto,metadata=none,onerror=redirect/https://img.youtube.com/vi/fD8ohgS6JKo/mqdefault.jpg)
![🔴 [ENEM 2025 PPL Live 02] Matemática - Resolução de 141 até 145](/cdn-cgi/image/width=200,dpr=2,quality=85,format=auto,metadata=none,onerror=redirect/https://img.youtube.com/vi/np7jAEKAjTE/mqdefault.jpg)
![🔴 [ENEM 2025 PPL Live 01] Matemática - Resolução de 136 até 140](/cdn-cgi/image/width=200,dpr=2,quality=85,format=auto,metadata=none,onerror=redirect/https://img.youtube.com/vi/vb1b6e7VXjw/mqdefault.jpg)