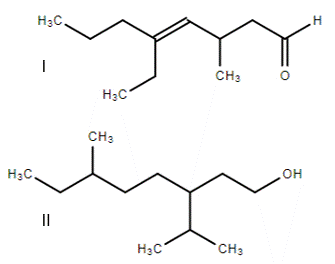
Com base nas recomendações de nomenclatura IUPAC para os compostos orgânicos, marque a opção que informa os nomes dos compostos a seguir:
a) I: ácido 5-etil-3-metiloct-4-enoico
II: 3-isopropil-6-metiloctan-1-ol
b) I: ácido 3-metil-5-etiloct-4-enoico
II: 6-meil-3-isopropiloctan-1-ol
c) I: 5-etil-3-metiloct-4-enal
II: 3-isopropil-6-metiloctan-1-ol
d) I: 3-metil-5-etiloct-4-enal
II: 6-metil-3-isopropiloctan-1-ol
e) I: 5-etil-3-metiloct-4-enona
II: 3-isopropil-6-metiloctanal
Química Orgânica ⇒ Nomenclatura IUPAC Tópico resolvido
- Ósmio Offline
- Mensagens: 1230
- Registrado em: 03 Abr 2020, 00:07
- Localização: Nova Iguaçu - Rio de Janeiro
- Agradeceram: 13 vezes
Jan 2021
14
14:48
Re: Nomenclatura IUPAC
Olá FISMAQUIM,
Só pode ser C.
Repare que o grupo funcional da molécula I é aldeído, ou seja, terminará com al. Além disso, pela ordem das ramificações que prioriza a ordem alfabética, etil vem primeiro.
Só pode ser C.
Repare que o grupo funcional da molécula I é aldeído, ou seja, terminará com al. Além disso, pela ordem das ramificações que prioriza a ordem alfabética, etil vem primeiro.
-
- Tópicos Semelhantes
- Resp.
- Exibições
- Últ. msg
![🔴 [ENEM 2025 PPL Live 06] Matemática - Resolução de 161 até 165](/cdn-cgi/image/width=200,dpr=2,quality=85,format=auto,metadata=none,onerror=redirect/https://img.youtube.com/vi/ucQZ6Qn91JM/mqdefault.jpg)
![🔴 [ENEM 2025 PPL Live 05] Matemática - Resolução de 156 até 160](/cdn-cgi/image/width=200,dpr=2,quality=85,format=auto,metadata=none,onerror=redirect/https://img.youtube.com/vi/m2T1rBKy2qU/mqdefault.jpg)
![🔴 [ENEM 2025 PPL Live 04] Matemática - Resolução de 151 até 155](/cdn-cgi/image/width=200,dpr=2,quality=85,format=auto,metadata=none,onerror=redirect/https://img.youtube.com/vi/1scCX1e_dZo/mqdefault.jpg)
![🔴 [ENEM 2025 PPL Live 03] Matemática - Resolução de 146 até 150](/cdn-cgi/image/width=200,dpr=2,quality=85,format=auto,metadata=none,onerror=redirect/https://img.youtube.com/vi/fD8ohgS6JKo/mqdefault.jpg)
![🔴 [ENEM 2025 PPL Live 02] Matemática - Resolução de 141 até 145](/cdn-cgi/image/width=200,dpr=2,quality=85,format=auto,metadata=none,onerror=redirect/https://img.youtube.com/vi/np7jAEKAjTE/mqdefault.jpg)
![🔴 [ENEM 2025 PPL Live 01] Matemática - Resolução de 136 até 140](/cdn-cgi/image/width=200,dpr=2,quality=85,format=auto,metadata=none,onerror=redirect/https://img.youtube.com/vi/vb1b6e7VXjw/mqdefault.jpg)