• 🔴 [ENEM 2025 PPL Live 03] Matemática - Resolução de 146 até 150
  • 🔴 [ENEM 2025 PPL Live 02] Matemática - Resolução de 141 até 145
  • 🔴 [ENEM 2025 PPL Live 01] Matemática - Resolução de 136 até 140
  • 🔴 [ENEM 2025 Belém Live 09] Matemática - Resolução de 176 até 180
  • 🔴 [ENEM 2025 Belém Live 08] Matemática - Resolução de 171 até 175
  • 🔴 [ENEM 2025 Belém Live 07] Matemática - Resolução de 166 até 170

Ensino MédioSabendo a soma e produto de 2 números, qual a soma dos seus recíprocos? Tópico resolvido

Problemas sobre assuntos estudados no Ensino Médio que você obteve durante seu estudo de Ensino Médio.
Se o problema for de Vestibular, poste-o no fórum Pré-Vestibular
Avatar do usuário
Carlosft57 Offline
4 - Sabe Tudo
Mensagens: 856
Registrado em: 25 Jul 2020, 17:39
Agradeceram: 1 vez
Jan 2021 28 19:24

Sabendo a soma e produto de 2 números, qual a soma dos seus recíprocos?

Mensagem por Carlosft57 »

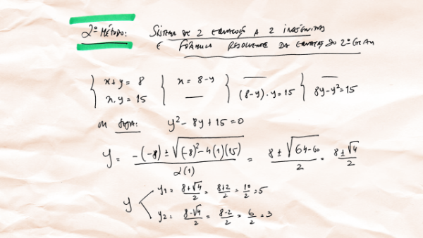
A soma de dois números é 8 e o seu produto é 15.
Qual é a soma dos seus recíprocos?

Observações:
x -> é um dos números
y -> é o outro número
x + y -> a soma dos dois números
x . y -> o produto dos dois números
𝟏/𝒙 + 𝟏/𝒚 = ?


EQUAÇÃO DO 2º GRAU - Soma e produto de 2 números / RASCmat #22
=============================================================

Conhecendo-se a soma e o produto de 2 números, pretende-se calcular a soma dos seus recíprocos.

Este vídeo faz a abordagem do problema por 4 métodos diferentes:
► 1º método: o desenvolvimento algébrico da expressão relativa à soma dos recíprocos dos dois números é equivalente ao quociente entre a sua soma pelo seu produto
► 2º método: resolução de um sistema de 2 equações a 2 incógnitas, sendo que uma das equações é a equação relativa à soma dos 2 números e a outra relativa ao produto; a resolução do sistema de equações envolve a resolução de uma equação do 2º grau, com a utilização da respetiva fórmula resolvente ( ou fórmula de Bhaskara )
► 3º método: é idêntico, mas mais simples que o 2º método, porque partimos diretamente da resolução da equação do 2º grau,
com a utilização da respetiva fórmula resolvente ( ou fórmula de Bhaskara ), sabendo que 𝒙^𝟐 - Sx + P é a equação do 2º grau cujas raízes têm como soma o coeficiente S e produto P ► 4º método: recorrendo ao conceito da relação entre um polinómio original e o refletido, sabemos que a soma das raízes de um polinómio refletido é igual à soma dos recíprocos das raizes do polinómio original, que é exatamente o que pretendemos saber

Link do vídeo: https://youtu.be/diA8f6LNT10
MINIATURA - RASCmat #22 - EQUAÇÃO DO 2º GRAU  - Soma e produto de 2 números.png
MINIATURA - RASCmat #22 - EQUAÇÃO DO 2º GRAU - Soma e produto de 2 números.png (277.74 KiB) Exibido 2463 vezes
Resposta

Explicação em vídeo
Avatar do usuário
Carlosft57 Offline
4 - Sabe Tudo
Mensagens: 856
Registrado em: 25 Jul 2020, 17:39
Agradeceram: 1 vez
Jan 2021 28 19:27

Re: Sabendo a soma e produto de 2 números, qual a soma dos seus recíprocos?

Mensagem por Carlosft57 »

Alguns slides relativos à explicação em vídeo:
=======================================

Slide3.PNG
Slide3.PNG (223.37 KiB) Exibido 2461 vezes
Slide4.PNG
Slide4.PNG (239.26 KiB) Exibido 2461 vezes
Slide5.PNG
Slide5.PNG (230.11 KiB) Exibido 2461 vezes
Slide6.PNG
Slide6.PNG (246.15 KiB) Exibido 2461 vezes
Slide7.PNG
Slide7.PNG (254.69 KiB) Exibido 2461 vezes
Slide8.PNG
Slide8.PNG (258.43 KiB) Exibido 2461 vezes
Slide9.PNG
Slide9.PNG (252.7 KiB) Exibido 2461 vezes
Slide10.PNG
Slide10.PNG (256.57 KiB) Exibido 2461 vezes
Slide11.PNG
Slide11.PNG (292.03 KiB) Exibido 2461 vezes
Slide12.PNG
Slide12.PNG (264.3 KiB) Exibido 2461 vezes
Slide13.PNG
Slide13.PNG (167.16 KiB) Exibido 2461 vezes
Responder
  • Tópicos Semelhantes
    Resp.
    Exibições
    Últ. msg

Voltar para “Ensino Médio”