• 🔴 [ENEM 2025 PPL Live 05] Matemática - Resolução de 156 até 160
  • 🔴 [ENEM 2025 PPL Live 04] Matemática - Resolução de 151 até 155
  • 🔴 [ENEM 2025 PPL Live 03] Matemática - Resolução de 146 até 150
  • 🔴 [ENEM 2025 PPL Live 02] Matemática - Resolução de 141 até 145
  • 🔴 [ENEM 2025 PPL Live 01] Matemática - Resolução de 136 até 140
  • 🔴 [ENEM 2025 Belém Live 09] Matemática - Resolução de 176 até 180

Links e LivrosDuas ou mais equações quadráticas podem ter o mesmo par de raízes?

Aqui você encontra indicações de sites e Livros. Você pode divulgar seu trabalho ou indicar sites, blogs ou canais bons para o estudo de nossa comunidade.
Avatar do usuário
Carlosft57 Offline
4 - Sabe Tudo
Mensagens: 856
Registrado em: 25 Jul 2020, 17:39
Agradeceram: 1 vez
Fev 2021 04 18:29

Duas ou mais equações quadráticas podem ter o mesmo par de raízes?

Mensagem por Carlosft57 »

Duas ou mais equações quadráticas podem ter o mesmo par de raízes? / Flash 15
=====================================================================

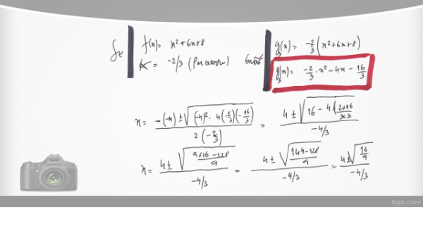
Este vídeo analisa o conceito teórico de que um par de raízes reais, são raízes não exclusivamente de uma equação quadrática em x, mas de uma quantidade infinita de equações quadráticas em x.
Todas estas, resultam da multiplicação da função por um número K 𝜖 R.

Link do vídeo: https://youtu.be/2ekHbwhqMHs
Slide2.PNG
Slide2.PNG (93.51 KiB) Exibido 1887 vezes
Resposta

Explicação em vídeo
Avatar do usuário
Carlosft57 Offline
4 - Sabe Tudo
Mensagens: 856
Registrado em: 25 Jul 2020, 17:39
Agradeceram: 1 vez
Fev 2021 04 18:31

Re: Duas ou mais equações quadráticas podem ter o mesmo par de raízes?

Mensagem por Carlosft57 »

Alguns slides relativos à explicação em vídeo:
=======================================
Slide3.PNG
Slide3.PNG (139.37 KiB) Exibido 1885 vezes
Slide4.PNG
Slide4.PNG (152.17 KiB) Exibido 1885 vezes
Slide6.PNG
Slide6.PNG (93.85 KiB) Exibido 1885 vezes
Slide8.PNG
Slide8.PNG (138.29 KiB) Exibido 1885 vezes
Slide9.PNG
Slide9.PNG (136.2 KiB) Exibido 1885 vezes
Slide10.PNG
Slide10.PNG (134.65 KiB) Exibido 1885 vezes
Slide12.PNG
Slide12.PNG (115.5 KiB) Exibido 1885 vezes
Movido de Ensino Médio para Links e Livros em 06 Fev 2021, 16:24 por caju

Responder
  • Tópicos Semelhantes
    Resp.
    Exibições
    Últ. msg

Voltar para “Links e Livros”