• 🔴 [ENEM 2025 PPL Live 03] Matemática - Resolução de 146 até 150
  • 🔴 [ENEM 2025 PPL Live 02] Matemática - Resolução de 141 até 145
  • 🔴 [ENEM 2025 PPL Live 01] Matemática - Resolução de 136 até 140
  • 🔴 [ENEM 2025 Belém Live 09] Matemática - Resolução de 176 até 180
  • 🔴 [ENEM 2025 Belém Live 08] Matemática - Resolução de 171 até 175
  • 🔴 [ENEM 2025 Belém Live 07] Matemática - Resolução de 166 até 170

IME / ITAEN 2009 Área Máxima do Triângulo Tópico resolvido

Aqui deverão ser postadas questões desses vestibulares e de outras instituições militares (EN, CN, EsPCEx etc.) ou questões de estilo militar que você obteve durante seus estudos para esses vestibulares.
Avatar do usuário
mandycorrea Offline
Avançado
Mensagens: 113
Registrado em: 08 Out 2019, 17:13
Agradeceu: 27 vezes
Agradeceram: 9 vezes
Abr 2021 07 10:42

EN 2009 Área Máxima do Triângulo

Mensagem por mandycorrea »

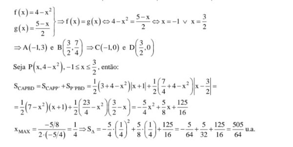
Os gráficos das funções reais f e g definidas por [tex3]f(x)=4-x^2[/tex3] e [tex3]g(x)=\frac{5-x}{2}
[/tex3]
interceptam-se nos pontos A=(a,f(a)) e B=(b, f(b)), [tex3]a \leq [/tex3]b. Considere os polígonos CAPBD onde C e D são as projeções ortogonais de A e B respectivamente sobre o eixo x e P(x,y), [tex3]a \leq x \leq b [/tex3] um ponto qualquer do gráfico da f. Dentre esses polígonos, seja [tex3]\Delta [/tex3], aquele que tem área máxima. Qual o valor da área de [tex3]\Delta [/tex3], em unidades de área?
a)530/64
b)505/64
c)445/64
d)125/64
e)95/64

Resposta

a)
Editado pela última vez por mandycorrea em 07 Abr 2021, 10:46, em um total de 3 vezes.
Avatar do usuário
petras Offline
7 - Einstein
Mensagens: 15797
Registrado em: 23 Jun 2016, 14:20
Agradeceu: 1108 vezes
Agradeceram: 2319 vezes
Abr 2021 07 17:59

Re: EN 2009 Área Máxima do Triângulo

Mensagem por petras »

mandycorrea,

Segue resolução (Fonte: madematicablogspot)
Anexos
rerer.jpg
rerer.jpg (12.65 KiB) Exibido 1308 vezes
erere.jpg
erere.jpg (22.89 KiB) Exibido 1308 vezes
Avatar do usuário
mandycorrea Offline
Avançado
Mensagens: 113
Registrado em: 08 Out 2019, 17:13
Agradeceu: 27 vezes
Agradeceram: 9 vezes
Abr 2021 09 12:49

Re: EN 2009 Área Máxima do Triângulo

Mensagem por mandycorrea »

Obrigada,petras! Não tinha achado em lugar nenhum, nem pensado em procurar nesse site.
Responder
  • Tópicos Semelhantes
    Resp.
    Exibições
    Últ. msg

Voltar para “IME / ITA”