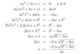
Dedução de Bháskara:

- images.jpg (8.91 KiB) Exibido 12524 vezes
Ele chama o que está dentro da raíz de Delta
Se esse delta for negativo, a raíz terá dentro de si um termo negativo
E isso não é possível nos reais... é necessário usar complexos.
Se eu preciso de complexos para definir as raízes, então não possuo raízes reais (no caso de 2º grau)
No plano cartesiano trabalhos apenas com reais, então nenhuma raíz vai aparecer nesse plano, apesar da função ainda possuir raízes complexas.
Todos os pontos da função terão o mesmo sinal, sem nenhuma raíz.
Ex.:
x²+4 = 0
Isso não possui raízes reais e concavidade para cima (a > 0). Todos os x reais inseridos vão resultar em y positivo.
Nessas questões você não quer que existam raízes reais, para que todos tenham o mesmo sinal. Então, delta < 0