• 🔴 [ENEM 2025 PPL Live 06] Matemática - Resolução de 161 até 165
  • 🔴 [ENEM 2025 PPL Live 05] Matemática - Resolução de 156 até 160
  • 🔴 [ENEM 2025 PPL Live 04] Matemática - Resolução de 151 até 155
  • 🔴 [ENEM 2025 PPL Live 03] Matemática - Resolução de 146 até 150
  • 🔴 [ENEM 2025 PPL Live 02] Matemática - Resolução de 141 até 145
  • 🔴 [ENEM 2025 PPL Live 01] Matemática - Resolução de 136 até 140

Física II(FB) Radiação do Corpo Negro Tópico resolvido

Termologia, Óptica e Ondas.
Avatar do usuário
Auto Excluído (ID: 23699)
Jul 2021 22 23:33

(FB) Radiação do Corpo Negro

Mensagem por Auto Excluído (ID: 23699) »

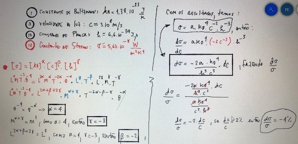
A Constante de Stefan (deslocamento de Wien) deriva de outras constantes da natureza, no caso: a constante de Boltzmann, k, a constante de Planck, h, e a velocidade da luz, c. O seu valor no sistema internacional é 5,67 x 10^{-8} (S.I.)
Se a velocidade da luz fosse 2% maior, qual a variação percentual da constante de Stefan?
Resposta

-4%
Avatar do usuário
felix Offline
2 - Nerd
Mensagens: 321
Registrado em: 12 Jul 2021, 17:05
Agradeceram: 25 vezes
Jul 2021 26 20:08

Re: (FB) Radiação do Corpo Negro

Mensagem por felix »

Anexos
MODERNA.jpg
MODERNA.jpg (73.93 KiB) Exibido 1097 vezes
Responder
  • Tópicos Semelhantes
    Resp.
    Exibições
    Últ. msg
  • (FB) Radiação do Corpo Negro
    por Auto Excluído (ID: 23699) » » em Física II
    1 Resp.
    1111 Exibições
    Últ. msg por παθμ Avatar do usuário
  • (FB) Radiação do Corpo Negro
    por Auto Excluído (ID: 23699) » » em Física II
    1 Resp.
    1123 Exibições
    Últ. msg por παθμ Avatar do usuário
  • (SOIF 2016) Radiação de corpo negro
    por παθμ » » em Física III
    1 Resp.
    596 Exibições
    Últ. msg por παθμ Avatar do usuário
  • (SOIF 2017) Radiação de corpo negro
    por παθμ » » em Física II
    1 Resp.
    792 Exibições
    Últ. msg por παθμ Avatar do usuário
  • (UEPG 2017.1) Corpo Negro
    por eivitordias » » em Física II
    0 Resp.
    1282 Exibições
    Últ. msg por eivitordias Avatar do usuário

Voltar para “Física II”