• 🔴 [ENEM 2025 PPL Live 05] Matemática - Resolução de 156 até 160
  • 🔴 [ENEM 2025 PPL Live 04] Matemática - Resolução de 151 até 155
  • 🔴 [ENEM 2025 PPL Live 03] Matemática - Resolução de 146 até 150
  • 🔴 [ENEM 2025 PPL Live 02] Matemática - Resolução de 141 até 145
  • 🔴 [ENEM 2025 PPL Live 01] Matemática - Resolução de 136 até 140
  • 🔴 [ENEM 2025 Belém Live 09] Matemática - Resolução de 176 até 180

IME / ITA(Simulado-Ime/Ita) Equação

Aqui deverão ser postadas questões desses vestibulares e de outras instituições militares (EN, CN, EsPCEx etc.) ou questões de estilo militar que você obteve durante seus estudos para esses vestibulares.
Avatar do usuário
AngelitaB Offline
Guru
Mensagens: 438
Registrado em: 26 Jun 2020, 18:33
Set 2021 28 13:49

(Simulado-Ime/Ita) Equação

Mensagem por AngelitaB »

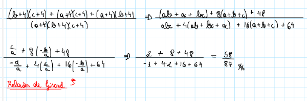
Dada a equação x³-x²+2x+1=0,de raízes a; b; c; Indique o valor da expressão [tex3]\frac{1}{a+4} + \frac{1}{b+4} + \frac{1}{c+4}[/tex3].
a)[tex3]\frac{42}{57}[/tex3]
b)[tex3]\frac{1}{57}[/tex3]
c)[tex3]\frac{1}{42}[/tex3]
d)57
e)[tex3]\frac{58}{87}[/tex3]
Resposta

e
Avatar do usuário
castelohsi Offline
Pleno
Mensagens: 54
Registrado em: 18 Set 2021, 20:01
Set 2021 28 15:39

Re: (Simulado-Ime/Ita) Equação

Mensagem por castelohsi »

Saudações, @AngelitaB.

Apenas relembrando as relações de Girard em uma equação do 3o grau da forma ax³ + bx² + cx + d = 0

x' + x'' + x''' = -b/a
x'.x'' + x'.x''' + x''.x''' = c/a
x'.x''.x''' = -d/a

Resolução:
Captura de tela 2021-09-28 153443.png
Captura de tela 2021-09-28 153443.png (40.24 KiB) Exibido 1762 vezes
Qualquer dúvida, basta chamar.
"E disse o divino: ame seu inimigo. Eu obedeci e amei a mim mesmo" - K. Gilbran
Responder
  • Tópicos Semelhantes
    Resp.
    Exibições
    Últ. msg

Voltar para “IME / ITA”