oie @
nicbln !
Primeiro se considera se a doença for recessiva

- abc.png (29.71 KiB) Exibido 2612 vezes
daí você tem 100% de chance do filho ter a doença
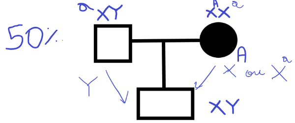
se considera agora se a doença for dominante e a mãe heterozigota

- doença .png (28.41 KiB) Exibido 2612 vezes
se considera agora se a doença for dominante e a mãe homozigota

- doença recessiva..png (30.5 KiB) Exibido 2612 vezes
]
no final como são três eventos totais possíveis você faz:
50%+100%+100%/ 3= 83%