Olá
ASPIRADEDEU,
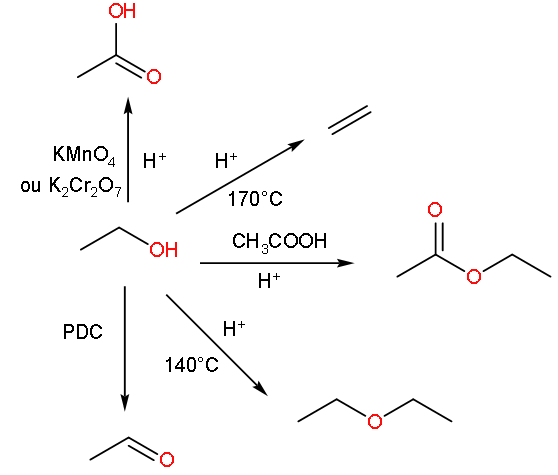
Aqui você tem que quais são as reações orgânicas mais comuns com álcoois:

- Captura de tela 2022-03-10 135550.png (17.88 KiB) Exibido 1324 vezes
Note que de cima para baixo temos:
- Oxidação de álcool a ácido carboxílico usando dicromato ou permanganato em meio ácido
- Desidratação intramolecular em meio ácido gerando um alceno
- Esterificação de Fischer (álcool + ácido carboxílico -> éster + água)
- Desidratação intermolecular em meio ácido gerando um éter simétrico (note que a temperatura é menor, ou seja, as condições reacionais são mais brandas)
O H+ significa que se utilizou um ácido para acidificar o meio, geralmente é o sulfúrico para evitar reações de substituição nucleofílica (SN1 e SN2) que podem acontecer caso se use um HCl ou HBr ou HI, por exemplo. Outro ácido que pode ser utilizado é o para-toluenossulfônico (TsOH).
Como bônus, deixei a oxidação seletiva do álcool ao aldeído usando PDC (dicromato de piridínio). Outros reagentes podem ser usados para isso, tais como PCC, DMP, NMO + TPAP, reagente de Collins e assim vai. Só coloquei como curiosidade. Essas reações são feitas em meio ácido porém na ausência de água. Por quê? Porque quando o álcool é oxidado gera-se primeiro o aldeído que em meio aquoso forma o chamado hidrato. Esse hidrato se comporta como álcoois frente a um oxidante e ocorre uma nova oxidação gerando o ácido. Quando usamos esses outros reagentes em diferentes meios, o hidrato não se forma e a oxidação não continua.