• 🔴 [ENEM 2025 PPL Live 05] Matemática - Resolução de 156 até 160
  • 🔴 [ENEM 2025 PPL Live 04] Matemática - Resolução de 151 até 155
  • 🔴 [ENEM 2025 PPL Live 03] Matemática - Resolução de 146 até 150
  • 🔴 [ENEM 2025 PPL Live 02] Matemática - Resolução de 141 até 145
  • 🔴 [ENEM 2025 PPL Live 01] Matemática - Resolução de 136 até 140
  • 🔴 [ENEM 2025 Belém Live 09] Matemática - Resolução de 176 até 180

Química OrgânicaUP Medicina (2016) - Basicidade de Aminas Cíclicas Tópico resolvido

Estamos a procura de moderadores para os fóruns de Química.
Se for do seu interesse, envie uma mensagem para o Prof. Caju
Avatar do usuário
gatsssby Offline
iniciante
Mensagens: 4
Registrado em: 29 Mai 2023, 19:34
Set 2023 19 00:07

UP Medicina (2016) - Basicidade de Aminas Cíclicas

Mensagem por gatsssby »

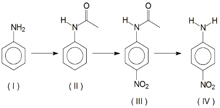
A para-nitroanilina é um composto orgânico conhecido como um intermediário
químico da síntese de corantes e que pode ser sintetizado através de diferentes rotas
sintéticas. Uma das rotas possíveis envolve compostos orgânicos que apresentam
basicidade variada, como mostra a rota sintética simplificada apresentada na figura
abaixo.
aaaaaaa.png
aaaaaaa.png (22.94 KiB) Exibido 549 vezes
Considerando a numeração atribuída na figura, assinale a alternativa que apresenta
os compostos da rota sintética em ordem decrescente de basicidade.
a) 1 > 2 > 3 > 4.
b) 3 > 4 > 1 > 2.
c) 1 > 4 > 2 > 3.
d) 4 > 1 > 2 > 3.
e) 3 > 2 > 1 > 4.

Resposta

c)
O "ranking" de basicidade de compostos orgânicos que conheço é:
Amina Secundária > Amina Primária > Amina Terciária > NH3 > Amina Aromática Primária > Amina Aromática Secundária > Amina Aromática Terciária

Gostaria de entender como o Nitrato dos compostos IV e III influencia na basicidade.

Obrigado.
Avatar do usuário
LostWalker Offline
4 - Sabe Tudo
Mensagens: 682
Registrado em: 04 Mar 2019, 16:34
Agradeceu: 52 vezes
Agradeceram: 128 vezes
Set 2023 20 21:45

Re: UP Medicina (2016) - Basicidade de Aminas Cíclicas

Mensagem por LostWalker »

Quando nos baseamos na teoria Lewis, temos que aminas possuem basicidade pela sua capacidade de receber prótons [H+], nesse cenário, para aumentarmos a sua basicidade, a ideia seria que aumentar o poder eletronegativo do Nitrogênio.

Facilmente tomamos que I > II, e como I e III são semelhante (assim como II e IV), basta saber qual é mais básico. Nesse sentido, a diferença, até onde eu sei, deveria ser mínima, mas okay, a ideia aqui *provavelmente* será tomar pela polaridade da molécula. Podemos dizer que, principalmente por estar na posição 'para', a ramificação auxilia para estabilizar a polaridade da molécula, reduzindo a poder eletronegativo de N, consequentemente reduzindo o seu poder de receber prótons [H+], que a própria definição de basicidade por Lewis, por isso, I>III (por pouco, acredito eu) e consequentemente II>IV, nos dando a alternativa C.

Vale lembrar que o motivo da Amina Terciária ter um poder fraco é porque as ramificação diminuem muito sua eletronegativa, e tal NH3 é a mais fraca das ramificadas, por ser apolar. No caso das aromáticas, isso deixo a faltar, pois não me lembro o que as leva serem tão fracas, talvez devido a sua estabilidade, mas nisso eu estaria mentindo se falasse que tenho certeza.
"[...] Mas essa é a graça dos encontros e desencontros: a Coincidência e o Destino. Se pudesse resumir, diria: A causalidade é a Ironia do Universo."
-Melly
Responder
  • Tópicos Semelhantes
    Resp.
    Exibições
    Últ. msg

Voltar para “Química Orgânica”