• 🔴 [ENEM 2025 PPL Live 03] Matemática - Resolução de 146 até 150
  • 🔴 [ENEM 2025 PPL Live 02] Matemática - Resolução de 141 até 145
  • 🔴 [ENEM 2025 PPL Live 01] Matemática - Resolução de 136 até 140
  • 🔴 [ENEM 2025 Belém Live 09] Matemática - Resolução de 176 até 180
  • 🔴 [ENEM 2025 Belém Live 08] Matemática - Resolução de 171 até 175
  • 🔴 [ENEM 2025 Belém Live 07] Matemática - Resolução de 166 até 170

IME / ITA(Escola Naval - 2013) Trigonometria Tópico resolvido

Aqui deverão ser postadas questões desses vestibulares e de outras instituições militares (EN, CN, EsPCEx etc.) ou questões de estilo militar que você obteve durante seus estudos para esses vestibulares.
Avatar do usuário
gabrielmacc Offline
Pleno
Mensagens: 93
Registrado em: 22 Fev 2024, 21:02
Localização: RJ
Agradeceu: 8 vezes
Agradeceram: 9 vezes
Abr 2024 13 16:52

(Escola Naval - 2013) Trigonometria

Mensagem por gabrielmacc »

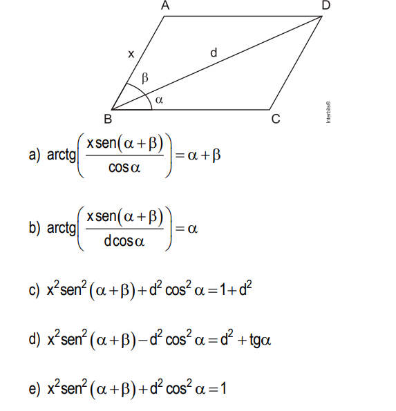
A figura abaixo mostra um paralelogramo [tex3]ABCD[/tex3]. Se d representa o comprimento da diagonal [tex3]BD[/tex3] e [tex3]\alpha [/tex3] e beta são ângulos conhecidos (ver figura), podemos afirmar que o comprimento [tex3]x[/tex3] do lado [tex3]AB[/tex3] satisfaz a equação
Captura de tela 2024-04-13 165053.png
Captura de tela 2024-04-13 165053.png (67 KiB) Exibido 944 vezes
Resposta

5) B
Editado pela última vez por ALDRIN em 23 Abr 2024, 13:06, em um total de 2 vezes.
Avatar do usuário
ProfLaplace Offline
3 - Destaque
Mensagens: 388
Registrado em: 14 Mar 2024, 16:32
Agradeceu: 209 vezes
Agradeceram: 256 vezes
Abr 2024 13 17:01

Re: (Escola Naval - 2013) Trigonometria

Mensagem por ProfLaplace »

Eai, beleza?
O ângulo BAD é [tex3]\pi-(\alpha+\beta)[/tex3] e o ângulo ADB é [tex3]\alpha[/tex3].
Aplique Lei dos Senos no triângulo ABD:

[tex3]\frac{x}{\sin{\alpha}}=\frac{d}{\sin{(\pi-(\alpha+\beta))}}=\frac{d}{\sin{(\alpha+\beta)}} \Rightarrow x=\frac{d\sin{\alpha}}{\sin{(\alpha+\beta)}}[/tex3].

Substituindo esse x na letra B do enunciado, você chega em [tex3]\arctan{(\tan{\alpha})}[/tex3], que é realmente [tex3]\alpha[/tex3].
Editado pela última vez por ProfLaplace em 13 Abr 2024, 17:03, em um total de 1 vez.
Avatar do usuário
gabrielmacc Offline
Pleno
Mensagens: 93
Registrado em: 22 Fev 2024, 21:02
Localização: RJ
Agradeceu: 8 vezes
Agradeceram: 9 vezes
Abr 2024 13 17:19

Re: (Escola Naval - 2013) Trigonometria

Mensagem por gabrielmacc »

hmm entendi, ent n tinha como chegar em si na resposta né, vc tinha que sacar a substituição e ver se dava? pq eu cheguei nessa relação porem n soube oq fazer com ela.Obrigado msm.
Avatar do usuário
petras Offline
7 - Einstein
Mensagens: 15789
Registrado em: 23 Jun 2016, 14:20
Agradeceu: 1108 vezes
Agradeceram: 2318 vezes
Abr 2024 13 23:25

Re: (Escola Naval - 2013) Trigonometria

Mensagem por petras »

gabrielmacc,

[tex3]\angle A = 180^o -(\alpha+\beta)\\
\frac{d}{sen\angle A}=\frac{x}{sen \alpha} \implies \frac{d}{sen180^o -(\alpha+\beta)}=\frac{x}{sen \alpha} \\
sen(ab) = seacosb-senbcosa \implies sen180cos(\alpha+\beta)-sen(\alpha+\beta)-cos180^o =\\
0.cos(\alpha+\beta)-sen(\alpha+\beta)(-1)=sen(\alpha+\beta)\\
\therefore x = \frac{dsen\alpha}{sen(\alpha+\beta}\implies sen\alpha =\frac{xsen(\alpha+\beta)}{d} (\frac{1}{cos \alpha})\\
tg\alpha =\frac{xsen(\alpha+\beta)}{cos\alpha.d} \therefore \boxed{\alpha = arc tg (\frac{xsen(\alpha+\beta)}{cos\alpha.d})}
[/tex3]
Responder
  • Tópicos Semelhantes
    Resp.
    Exibições
    Últ. msg

Voltar para “IME / ITA”