• 🔴 [ENEM 2025 PPL Live 06] Matemática - Resolução de 161 até 165
  • 🔴 [ENEM 2025 PPL Live 05] Matemática - Resolução de 156 até 160
  • 🔴 [ENEM 2025 PPL Live 04] Matemática - Resolução de 151 até 155
  • 🔴 [ENEM 2025 PPL Live 03] Matemática - Resolução de 146 até 150
  • 🔴 [ENEM 2025 PPL Live 02] Matemática - Resolução de 141 até 145
  • 🔴 [ENEM 2025 PPL Live 01] Matemática - Resolução de 136 até 140

Concursos Públicos11 equação exponencial Tópico resolvido

Este é o fórum para postagem de problemas cobrados em Concursos Públicos ou problemas que são do estilo de Concursos Públicos.
Avatar do usuário
Analisesousp Offline
1 - Trainee
Mensagens: 361
Registrado em: 18 Nov 2023, 18:21
Agradeceu: 8 vezes
Agradeceram: 3 vezes
Set 2024 30 16:55

11 equação exponencial

Mensagem por Analisesousp »

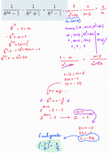
x0 é a raiz desta equação:

[tex3]\frac{1}{8^{2x}-1} - \frac{1}{8^{x}+1} = \frac{1}{8^{x}-1}.[/tex3]

Qual o valor de (x0)2?

A 1/9
B 1/4
C 9
D 4
Resposta

gabarito A
Adaptado de Ibam 2024
Avatar do usuário
FelipeWagner Offline
1 - Trainee
Mensagens: 36
Registrado em: 21 Jan 2018, 18:40
Nome completo: Felipe
Agradeceu: 1 vez
Agradeceram: 11 vezes
Contato:
Set 2024 30 23:15

Re: 11 equação exponencial

Mensagem por FelipeWagner »

Olá, tudo bem? Questão que envolve a ideia de uma troca de variável e uma manipulação de uma equação fracionária.

Segue abaixo o desenvolvimento, qualquer dúvida... eu te explico melhor.
image.png
Tenha um ótimo dia.
Meu contato:
https://abre.ai/olaprof
Responder
  • Tópicos Semelhantes
    Resp.
    Exibições
    Últ. msg

Voltar para “Concursos Públicos”