Concursos Públicos ⇒ Geometria espacial/ Cone Tópico resolvido
- Alêh01072003 Offline
- Mensagens: 7
- Registrado em: 30 Jul 2024, 15:50
- Agradeceu: 3 vezes
Out 2024
06
15:43
Geometria espacial/ Cone
Um cone circular reto, cuja medida do raio da base é R, é cortado por um plano paralelo a sua base, resultando dois sólidos de volumes iguais. Um destes sólidos é um cone reto, cuja medida do raio da base é r. A relação existente entre R e r é: gabarito letra C.
a) R³ = 3r³
B) R² = 2r²
C) R³ = 2r³
D) R²= 3r²
a) R³ = 3r³
B) R² = 2r²
C) R³ = 2r³
D) R²= 3r²
-
Usuário Excluído 30973
Out 2024
06
16:11
Re: Geometria espacial/ Cone
OláAlêh01072003 escreveu: 06 Out 2024, 15:43 Um cone circular reto, cuja medida do raio da base é R, é cortado por um plano paralelo a sua base, resultando dois sólidos de volumes iguais. Um destes sólidos é um cone reto, cuja medida do raio da base é r. A relação existente entre R e r é: gabarito letra C.
a) R³ = 3r³
B) R² = 2r²
C) R³ = 2r³
D) R²= 3r²
Essa questão já foi respondida aqui no fórum: viewtopic.php?t=57240
Mas, se ainda ficar com alguma dúvida, coloque aqui!
- Alêh01072003 Offline
- Mensagens: 7
- Registrado em: 30 Jul 2024, 15:50
- Agradeceu: 3 vezes
Out 2024
07
09:44
Re: Geometria espacial/ Cone
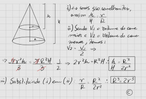
De acordo com a resolução, a altura do cone menor é igual a do cone maior, pq ?
-
Usuário Excluído 30973
Out 2024
07
10:28
Re: Geometria espacial/ Cone
Olá
Vou deixar a minha solução aqui. Fiz um pouquinho mais detalhada, veja se você entende:
O desenho tá meio torto, mas acho que da para entender. Qualquer coisa, manda aí
Vou deixar a minha solução aqui. Fiz um pouquinho mais detalhada, veja se você entende:
O desenho tá meio torto, mas acho que da para entender. Qualquer coisa, manda aí
- Alêh01072003 Offline
- Mensagens: 7
- Registrado em: 30 Jul 2024, 15:50
- Agradeceu: 3 vezes
-
- Tópicos Semelhantes
- Resp.
- Exibições
- Últ. msg
-
- 1 Resp.
- 3385 Exibições
-
Últ. msg por ivanginato23
-
- 1 Resp.
- 7712 Exibições
-
Últ. msg por caju
-
- 1 Resp.
- 3598 Exibições
-
Últ. msg por mawapa
-
- 1 Resp.
- 4924 Exibições
-
Últ. msg por edu_landim
-
- 2 Resp.
- 5567 Exibições
-
Últ. msg por wagner sá
![🔴 [ENEM 2025 PPL Live 06] Matemática - Resolução de 161 até 165](/cdn-cgi/image/width=200,dpr=2,quality=85,format=auto,metadata=none,onerror=redirect/https://img.youtube.com/vi/ucQZ6Qn91JM/mqdefault.jpg)
![🔴 [ENEM 2025 PPL Live 05] Matemática - Resolução de 156 até 160](/cdn-cgi/image/width=200,dpr=2,quality=85,format=auto,metadata=none,onerror=redirect/https://img.youtube.com/vi/m2T1rBKy2qU/mqdefault.jpg)
![🔴 [ENEM 2025 PPL Live 04] Matemática - Resolução de 151 até 155](/cdn-cgi/image/width=200,dpr=2,quality=85,format=auto,metadata=none,onerror=redirect/https://img.youtube.com/vi/1scCX1e_dZo/mqdefault.jpg)
![🔴 [ENEM 2025 PPL Live 03] Matemática - Resolução de 146 até 150](/cdn-cgi/image/width=200,dpr=2,quality=85,format=auto,metadata=none,onerror=redirect/https://img.youtube.com/vi/fD8ohgS6JKo/mqdefault.jpg)
![🔴 [ENEM 2025 PPL Live 02] Matemática - Resolução de 141 até 145](/cdn-cgi/image/width=200,dpr=2,quality=85,format=auto,metadata=none,onerror=redirect/https://img.youtube.com/vi/np7jAEKAjTE/mqdefault.jpg)
![🔴 [ENEM 2025 PPL Live 01] Matemática - Resolução de 136 até 140](/cdn-cgi/image/width=200,dpr=2,quality=85,format=auto,metadata=none,onerror=redirect/https://img.youtube.com/vi/vb1b6e7VXjw/mqdefault.jpg)