Bloqueador de anúncios detectado: Nosso site é possível exibindo anúncios online para nossos visitantes. Por favor, considere nos apoiar desativando seu bloqueador de anúncios em nosso site.
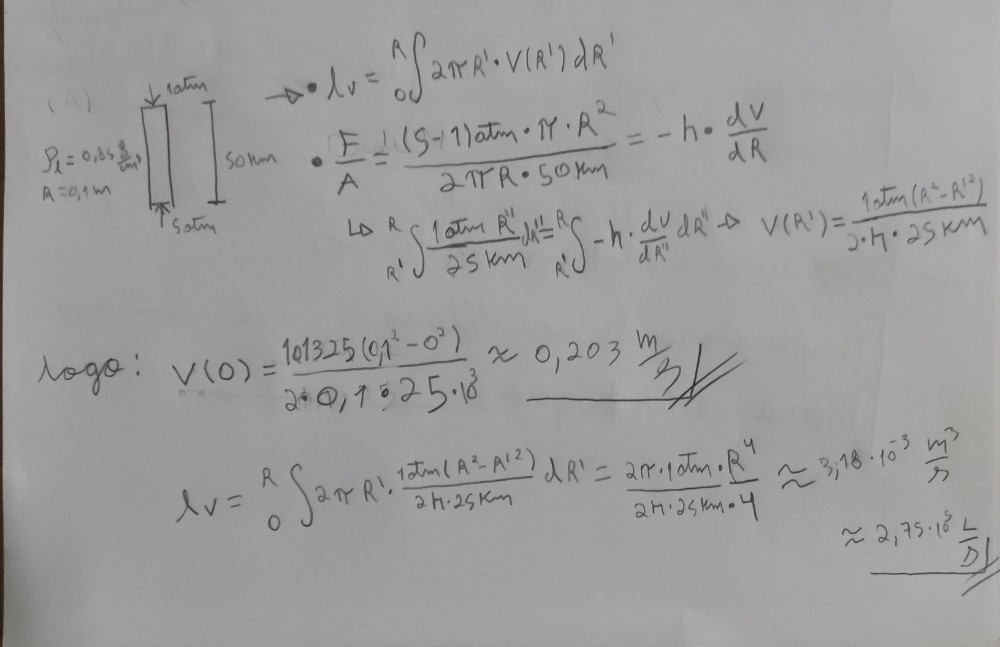
Petróleo de densidade 0,85 g/cm³ e viscosidade 1 poise é injetado, à pressão de 5 atm, numa extremidade de um oleoduto de 20 cm de diâmetro e 50 km de comprimento, emergindo na outra extremidade a pressão atmosférica.
(a) Calcule a vazão em litros/dia .
(b) Calcule a velocidade de escoamento ao longo do eixo do oleoduto.
Resposta
(a) 2,75 litros/dia; (b) 0,203 m/s
Editado pela última vez por cajuADMIN em 24 Set 2020, 10:58, em um total de 1 vez.
Razão:retirar o enunciado da imagem (regra 1).
Um líquido incompressível escoa através de tubulação cilíndrica, como se vê na figura. O raio da secção estreita corresponde a 20% do raio das secção da entrada. Percentualmente, o aumento de velocidade do líquido será de: a)1.400 b)2.400 c)2.500...
Em um edifício de [tex3]12[/tex3] pavimentos, a vazão máxima provável, devida ao uso de diversos aparelhos, em uma coluna de distribuição de [tex3]100\text{ mm}[/tex3] de diâmetro, é de [tex3]10\text{ \ell/s}[/tex3]. A velocidade de escoamento vale...
Seja [tex3]S[/tex3] a seção da tubulação e [tex3]V[/tex3] o volume que passa em um segundo em um ponto qual quer da tubulação e [tex3]v[/tex3] a velocidade de escoamento:
Água flui de um reservatório para uma turbina [tex3]330[/tex3] pés abaixo. A eficiência da turbina é de [tex3]80 \%[/tex3] e ela recebe [tex3]100\, pes^3[/tex3] de água por minuto. Desprezando o atrito na tubulação, e a pequena [tex3]E_{c}[/tex3]...
O tubo da figura tem [tex3]50\text{ cm}[/tex3] de diâmetro na seção [tex3]A[/tex3] e [tex3]40\text{ cm}[/tex3] na seção [tex3]B[/tex3]. A pressão em [tex3]A[/tex3] é [tex3]2.10^5\text{ N/m^2}[/tex3]. O óleo transmitido por este tubo tem massa...