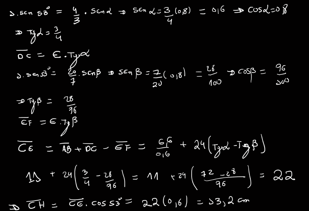
Dois raios paralelos, um vermelho e outro azul, que estão separados 6,6cm, incidem com um ângulo de 53º sobre uma placa de diamante, cuja espessura é de 24cm. Quando os raios emergem do diamante, qual será a distância de separação entre eles?
n(vermelho) = 4/3
n(azul) = 20/7
Dos raios paralelos, uno rojo y otro azul, que están separados 6,6cm, inciden con un ángulo de 53º sobre una placa de diamante, cuyo espesor es de 24cm. Cuando los rayos emergen del diamante, cuál será su longitud de separación?

- WhatsApp Image 2021-05-20 at 18.06.33.jpeg (24.79 KiB) Exibido 614 vezes