• 🔴 [ENEM 2025 PPL Live 05] Matemática - Resolução de 156 até 160
  • 🔴 [ENEM 2025 PPL Live 04] Matemática - Resolução de 151 até 155
  • 🔴 [ENEM 2025 PPL Live 03] Matemática - Resolução de 146 até 150
  • 🔴 [ENEM 2025 PPL Live 02] Matemática - Resolução de 141 até 145
  • 🔴 [ENEM 2025 PPL Live 01] Matemática - Resolução de 136 até 140
  • 🔴 [ENEM 2025 Belém Live 09] Matemática - Resolução de 176 até 180

Física II(Lumbreras) Óptica física Tópico resolvido

Termologia, Óptica e Ondas.
Avatar do usuário
Auto Excluído (ID: 23699)
Mai 2021 25 10:09

(Lumbreras) Óptica física

Mensagem por Auto Excluído (ID: 23699) »

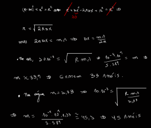
Num experimento de anel de Newton, o raio de curvatura R da lente mede 5,0m e o diâmetro é 20mm. Quantos anéis são produzidos? Quantos seriam produzidos se colocássemos o experimento embaixo de água (n=1,33)?
Suponha que a luz incidente possui 589nm.

a) 36, 46
b) 44, 34
c) 45, 34
d) 33, 44
e) 34, 45
Resposta

B
Editado pela última vez por Auto Excluído (ID: 23699) em 25 Mai 2021, 10:09, em um total de 1 vez.
Avatar do usuário
LeoJaques Offline
2 - Nerd
Mensagens: 223
Registrado em: 18 Nov 2022, 10:05
Agradeceu: 22 vezes
Agradeceram: 101 vezes
Dez 2024 16 17:18

Re: (Lumbreras) Óptica física

Mensagem por LeoJaques »

Fiz para os anéis escuros e cheguei em 33 e 45.
image.png
image.png
obs: devemos arrendondar m para baixo, já que 33,9 representa que foram formadas 33 anéis e não chegou a se formar o trigésimo quarto.

Para anéis claros, chegariamos, no ar, em m + 1/2 = 33,9 e portanto m = 33. e na água m + 1/2 = 45,1, e portanto, m = 44.

Acredito que a questão queria saber a quantidade de anéis claros, e portanto, chegariamos na alternativa D)
Responder
  • Tópicos Semelhantes
    Resp.
    Exibições
    Últ. msg
  • (Lumbreras) Óptica física
    por Auto Excluído (ID: 23699) » » em Física II
    0 Resp.
    612 Exibições
    Últ. msg por Auto Excluído (ID: 23699) Avatar do usuário
  • (Lumbreras) Óptica física
    por Auto Excluído (ID: 23699) » » em Física II
    0 Resp.
    713 Exibições
    Últ. msg por Auto Excluído (ID: 23699) Avatar do usuário
  • (Lumbreras) Óptica física
    por Auto Excluído (ID: 23699) » » em Física II
    0 Resp.
    615 Exibições
    Últ. msg por Auto Excluído (ID: 23699) Avatar do usuário
  • (Lumbreras) Óptica física
    por Auto Excluído (ID: 23699) » » em Física II
    1 Resp.
    801 Exibições
    Últ. msg por LeoJaques Avatar do usuário
  • (Lumbreras) Óptica física
    por Auto Excluído (ID: 23699) » » em Física II
    1 Resp.
    734 Exibições
    Últ. msg por LeoJaques Avatar do usuário

Voltar para “Física II”