• 🔴 [ENEM 2025 PPL Live 06] Matemática - Resolução de 161 até 165
  • 🔴 [ENEM 2025 PPL Live 05] Matemática - Resolução de 156 até 160
  • 🔴 [ENEM 2025 PPL Live 04] Matemática - Resolução de 151 até 155
  • 🔴 [ENEM 2025 PPL Live 03] Matemática - Resolução de 146 até 150
  • 🔴 [ENEM 2025 PPL Live 02] Matemática - Resolução de 141 até 145
  • 🔴 [ENEM 2025 PPL Live 01] Matemática - Resolução de 136 até 140

Física IIExperiência de Young

Termologia, Óptica e Ondas.
Avatar do usuário
Berchades Offline
sênior
Mensagens: 23
Registrado em: 28 Fev 2013, 21:49
Agradeceu: 4 vezes
Agradeceram: 1 vez
Out 2013 06 15:15

Experiência de Young

Mensagem por Berchades »

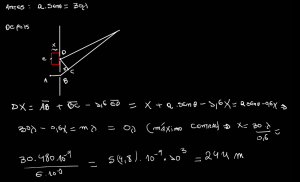
Quando uma peça de mica de índice de refração [tex3]1,6[/tex3] é colocada na frente de uma das duas fendas em uma experiência de Young, a franja clara correspondente a [tex3]m = 30[/tex3] é deslocada para a posição que era ocupada anteriormente pelo máximo central. Se o comprimento de onda é [tex3]480 nm[/tex3], qual é a espessura da peça de mica?

R:
Resposta

24 [tex3]\mu m[/tex3]
Editado pela última vez por Berchades em 06 Out 2013, 15:15, em um total de 1 vez.
Avatar do usuário
LeoJaques Offline
2 - Nerd
Mensagens: 223
Registrado em: 18 Nov 2022, 10:05
Agradeceu: 22 vezes
Agradeceram: 101 vezes
Dez 2024 26 12:16

Re: Experiência de Young

Mensagem por LeoJaques »

image.png
Responder
  • Tópicos Semelhantes
    Resp.
    Exibições
    Últ. msg

Voltar para “Física II”