• 🔴 [ENEM 2025 PPL Live 05] Matemática - Resolução de 156 até 160
  • 🔴 [ENEM 2025 PPL Live 04] Matemática - Resolução de 151 até 155
  • 🔴 [ENEM 2025 PPL Live 03] Matemática - Resolução de 146 até 150
  • 🔴 [ENEM 2025 PPL Live 02] Matemática - Resolução de 141 até 145
  • 🔴 [ENEM 2025 PPL Live 01] Matemática - Resolução de 136 até 140
  • 🔴 [ENEM 2025 Belém Live 09] Matemática - Resolução de 176 até 180

Quadriláteros - 2003 - Vol 4Problema 01 - Quadriláteros -Vol. 4 Tópico resolvido

A presente obra QUADRILÁTEROS; é parte da Geometría Plana, cujo objetivo é proporcionar a teoría necessária, suas propiedades e como aplicá-las aos problemas referentes a este assunto.
Avatar do usuário
petras Offline
7 - Einstein
Mensagens: 15808
Registrado em: 23 Jun 2016, 14:20
Agradeceu: 1109 vezes
Agradeceram: 2326 vezes
Mar 2025 23 15:46

Problema 01 - Quadriláteros -Vol. 4

Mensagem por petras »

Começando mais uma jornada do solucionário. Serão 80 problemas,
Conto com a ajuda de todos os que gostam do assunto.


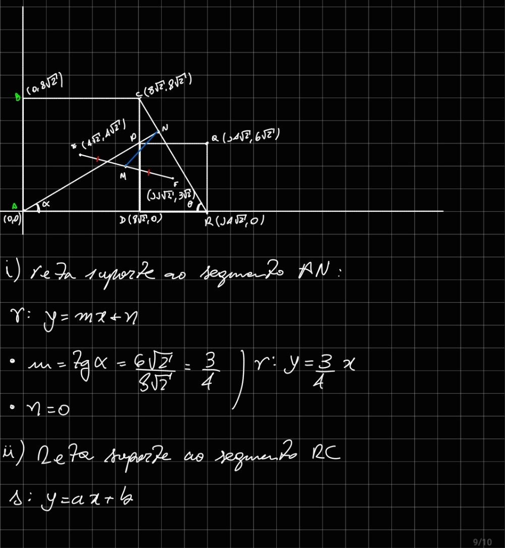
Se ABCD e PQRD são quadrados, calcular MN.
Sendo "E" e "F" centros dos quadrados.
AB = 8[tex3]\sqrt{2}[/tex3] e QR = 6[tex3]\sqrt{2}[/tex3]
Resposta

Gabarito: E) 5
Anexos
Sem título.png
Avatar do usuário
Usuário Excluído 30973
Mar 2025 23 16:29

Re: Problema 01 - Quadriláteros -Vol. 4

Mensagem por Usuário Excluído 30973 »

Fiz por GA. Não é muito elegante, mas foi o jeito que pensei :)
SmartSelect_20250323_162644_Samsung Notes.jpg
SmartSelect_20250323_162654_Samsung Notes.jpg
Avatar do usuário
petras Offline
7 - Einstein
Mensagens: 15808
Registrado em: 23 Jun 2016, 14:20
Agradeceu: 1109 vezes
Agradeceram: 2326 vezes
Mar 2025 23 16:46

Re: Problema 01 - Quadriláteros -Vol. 4

Mensagem por petras »

gibbs escreveu: 23 Mar 2025, 16:29 Fiz por GA. Não é muito elegante, mas foi o jeito que pensei :)

SmartSelect_20250323_162644_Samsung Notes.jpg
SmartSelect_20250323_162654_Samsung Notes.jpg
É uma solução mas vamos aguardar uma por geometria já que o livro não utiliza GA nem trigonometria avançada para resoluções
Avatar do usuário
geobson Offline
5 - Mestre
Mensagens: 4899
Registrado em: 02 Jun 2013, 20:01
Agradeceu: 785 vezes
Agradeceram: 366 vezes
Mar 2025 23 17:18

Re: Problema 01 - Quadriláteros -Vol. 4

Mensagem por geobson »

@petras o caminho é o mesmo.
Anexos
IMG_6640.jpeg
Avatar do usuário
petras Offline
7 - Einstein
Mensagens: 15808
Registrado em: 23 Jun 2016, 14:20
Agradeceu: 1109 vezes
Agradeceram: 2326 vezes
Mar 2025 23 17:22

Re: Problema 01 - Quadriláteros -Vol. 4

Mensagem por petras »

geobson escreveu: 23 Mar 2025, 17:18 @petras o caminho é o mesmo.
Já tinha visto este problema mas ainda não "enxerguei" a saida.
Avatar do usuário
petras Offline
7 - Einstein
Mensagens: 15808
Registrado em: 23 Jun 2016, 14:20
Agradeceu: 1109 vezes
Agradeceram: 2326 vezes
Mar 2025 23 17:28

Re: Problema 01 - Quadriláteros -Vol. 4

Mensagem por petras »

@geobson

up...................................................................
Avatar do usuário
dantasWT Offline
1 - Trainee
Mensagens: 60
Registrado em: 24 Jan 2024, 22:07
Nome completo: Dantas
Agradeceu: 18 vezes
Agradeceram: 65 vezes
Mar 2025 23 18:48

Re: Problema 01 - Quadriláteros -Vol. 4

Mensagem por dantasWT »

Opa, nova jornada 😁 vou tentar dar uma ajudada amanhã que hj é o descanso
Avatar do usuário
petras Offline
7 - Einstein
Mensagens: 15808
Registrado em: 23 Jun 2016, 14:20
Agradeceu: 1109 vezes
Agradeceram: 2326 vezes
Mar 2025 24 08:51

Re: Problema 01 - Quadriláteros -Vol. 4

Mensagem por petras »

A ideia é demonstrar que o [tex3]\triangle ENF[/tex3] é retângulo
Avatar do usuário
petras Offline
7 - Einstein
Mensagens: 15808
Registrado em: 23 Jun 2016, 14:20
Agradeceu: 1109 vezes
Agradeceram: 2326 vezes
Mar 2025 24 09:11

Re: Problema 01 - Quadriláteros -Vol. 4

Mensagem por petras »

△ACN é retángulo, já que △ADP≡△CDR(triÂngulo retângulo com catetos iguais:PD = DR e CD=AD) e portanto [tex3]\angle CRD= \angle APD= \angle NPC⟹ CNP=RDC[/tex3]. e por ser E ponto medio de AC temos que AE=EC=EN. Chamando de S a intersecão de AE e RF tenemos:

Como △FDE tambem é reto e as diagonais são proporcionais aos lados este deve ser semelhante aos anteriores, e como [tex3]\angle SNP= \angle SCP=\angle DAE[/tex3] e △AEN é isósceles, temos que [tex3]\angle SNE= \angle SFE[/tex3] e assim o quadrilátero ESNF é inscritivel, de onde [tex3]\angle ENF= \angle ESF=90^o\\
\triangle EFD: AE=ED = \frac{D\sqrt2}{2}=\frac{8\sqrt2.\sqrt2}{2} =8\\
Analogamente~DF = 6 \therefore EF^2 = 6^2+8^2 \implies EF = 10\\
\triangle EMF:MN = \frac{EF}{2} = \frac{10}{2} =\boxed{ 5}[/tex3]

(Solução:Pie)
Anexos
Sem título.png
Responder
  • Tópicos Semelhantes
    Resp.
    Exibições
    Últ. msg

Voltar para “Quadriláteros - 2003 - Vol 4”