• 🔴 [ENEM 2025 PPL Live 03] Matemática - Resolução de 146 até 150
  • 🔴 [ENEM 2025 PPL Live 02] Matemática - Resolução de 141 até 145
  • 🔴 [ENEM 2025 PPL Live 01] Matemática - Resolução de 136 até 140
  • 🔴 [ENEM 2025 Belém Live 09] Matemática - Resolução de 176 até 180
  • 🔴 [ENEM 2025 Belém Live 08] Matemática - Resolução de 171 até 175
  • 🔴 [ENEM 2025 Belém Live 07] Matemática - Resolução de 166 até 170

Física IIÓptica - Associação de espelhos

Termologia, Óptica e Ondas.
Avatar do usuário
tailanfelix Offline
Pleno
Mensagens: 61
Registrado em: 21 Set 2014, 20:00
Localização: Itacaré-Ba
Agradeceu: 33 vezes
Dez 2014 28 20:20

Óptica - Associação de espelhos

Mensagem por tailanfelix »

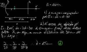
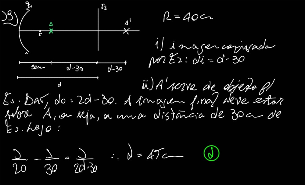
Um espelho plano está colocado em frente a um espelho côncavo, perpendicularmente ao eixo principal. Uma fonte luminosa A, centrada no eixo principal entre os dois espelhos, emite raios que se refletem sucessivamente sobre os dois espelhos e formam sobre a própria fonte A uma imagem real da mesma. O raio de curvatura do espelho é 40 cm e a distância do centro da fonte A até o centro do espelho esférico é de 30 cm. A distância d do espelho plano até o centro do espelho côncavo é,
01) 20cm
02) 30cm
03) 40cm
04) 45cm
05) 50cm

consegui achar a distância da imagem ao espelho côncavo porém não consigo terminar a questão, alguém pode demonstrar a situação em um desenho e resolver a questão? Abraços
Avatar do usuário
Usuário Excluído 30973
Abr 2025 25 01:20

Re: Óptica - Associação de espelhos

Mensagem por Usuário Excluído 30973 »

SmartSelect_20250425_011435_Samsung Notes.jpg
Responder
  • Tópicos Semelhantes
    Resp.
    Exibições
    Últ. msg
  • Associação de Espelhos Planos
    por gabemreis » » em Física II
    1 Resp.
    1301 Exibições
    Últ. msg por Vinisth Avatar do usuário
  • Associação de espelhos planos
    por danimedrado » » em Física II
    1 Resp.
    3779 Exibições
    Últ. msg por Marcos Avatar do usuário
  • (UFV) Associação de espelhos côncavos
    por Liliana » » em Física II
    3 Resp.
    10744 Exibições
    Últ. msg por Anonymous Avatar do usuário
  • Associação de Dois Espelhos Planos
    por Shan » » em Física II
    1 Resp.
    4803 Exibições
    Últ. msg por Fotoeletrico Avatar do usuário
  • Associação de espelhos planos
    por iag0g » » em Física II
    0 Resp.
    927 Exibições
    Últ. msg por iag0g

Voltar para “Física II”