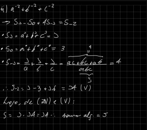
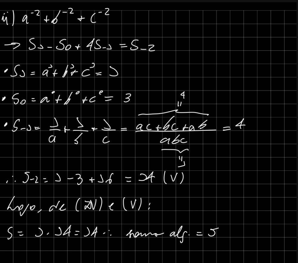
Sabendo que
[tex3]\begin{cases}
\frac{a^\sqrt{2}}{a}+\frac{b^\sqrt{2}}{b}+\frac{c^\sqrt{2}}{c}=\alpha \\
\frac{a^\sqrt{2}}{a^2}+\frac{b^\sqrt{2}}{b^2}+\frac{c^\sqrt{2}}{c^2}=\beta \\
\frac{a^\sqrt{2}}{a^3}+\frac{b^\sqrt{2}}{b^3}+\frac{c^\sqrt{2}}{c^3}=\theta
\end{cases}[/tex3]
e
[tex3]S=\left(\frac{a^\sqrt{2}+b^\sqrt{2}+c^\sqrt{2}+4\beta }{\alpha +\theta }\right)(a^{-2}+b^{-2}+c^{-2})[/tex3]
Então, a soma dos algarismos de S é igual a
a) 1
b) 2
c) 3
d) 4
e) 5
Resposta
E
![🔴 [ENEM 2025 PPL Live 03] Matemática - Resolução de 146 até 150](/cdn-cgi/image/width=200,dpr=2,quality=85,format=auto,metadata=none,onerror=redirect/https://img.youtube.com/vi/fD8ohgS6JKo/mqdefault.jpg)
![🔴 [ENEM 2025 PPL Live 02] Matemática - Resolução de 141 até 145](/cdn-cgi/image/width=200,dpr=2,quality=85,format=auto,metadata=none,onerror=redirect/https://img.youtube.com/vi/np7jAEKAjTE/mqdefault.jpg)
![🔴 [ENEM 2025 PPL Live 01] Matemática - Resolução de 136 até 140](/cdn-cgi/image/width=200,dpr=2,quality=85,format=auto,metadata=none,onerror=redirect/https://img.youtube.com/vi/vb1b6e7VXjw/mqdefault.jpg)
![🔴 [ENEM 2025 Belém Live 09] Matemática - Resolução de 176 até 180](/cdn-cgi/image/width=200,dpr=2,quality=85,format=auto,metadata=none,onerror=redirect/https://img.youtube.com/vi/krrZ-ei9zSY/mqdefault.jpg)
![🔴 [ENEM 2025 Belém Live 08] Matemática - Resolução de 171 até 175](/cdn-cgi/image/width=200,dpr=2,quality=85,format=auto,metadata=none,onerror=redirect/https://img.youtube.com/vi/MvNi78z2R8o/mqdefault.jpg)
![🔴 [ENEM 2025 Belém Live 07] Matemática - Resolução de 166 até 170](/cdn-cgi/image/width=200,dpr=2,quality=85,format=auto,metadata=none,onerror=redirect/https://img.youtube.com/vi/X_1EIDOwGVg/mqdefault.jpg)