• 🔴 [ENEM 2025 PPL Live 03] Matemática - Resolução de 146 até 150
  • 🔴 [ENEM 2025 PPL Live 02] Matemática - Resolução de 141 até 145
  • 🔴 [ENEM 2025 PPL Live 01] Matemática - Resolução de 136 até 140
  • 🔴 [ENEM 2025 Belém Live 09] Matemática - Resolução de 176 até 180
  • 🔴 [ENEM 2025 Belém Live 08] Matemática - Resolução de 171 até 175
  • 🔴 [ENEM 2025 Belém Live 07] Matemática - Resolução de 166 até 170

Física IIÓptica física

Termologia, Óptica e Ondas.
Avatar do usuário
Usuário Excluído 30973
Jul 2025 21 01:41

Óptica física

Mensagem por Usuário Excluído 30973 »

Um fluxo de ondas monocromáticas de comprimento de onda [tex3]\lambda [/tex3], proveniente de uma fonte distante, incide, quase normalmente, em uma cunha de vidro. A uma distância d da cunha foi colocada uma tela, na qual uma lente, com distância focal f, projeta um quadro de interferências, que surgiu na cunha. A distância entre as faixas de interferência na tela é [tex3]\Delta L[/tex3] e é conhecida. Encontrar o ângulo [tex3]\alpha[/tex3] da cunha, sabendo que o índice de refração do vidro é igual a n.
Resposta

[tex3]\alpha =\frac{\lambda}{2n\Delta L}\cdot\frac{d\mp \sqrt{d²-4fd}}{d\pm\sqrt{d²-4fd}}[/tex3]
SmartSelect_20250721_012441_Samsung Notes.jpg

A partir do pouco que está na foto, não consegui desenvolver mais nada :/

Sobre o gab, eu também não entendi o motivo de haver duas respostas para essa questão.
Avatar do usuário
LeoJaques Offline
2 - Nerd
Mensagens: 223
Registrado em: 18 Nov 2022, 10:05
Agradeceu: 22 vezes
Agradeceram: 101 vezes
Jul 2025 21 14:52

Re: Óptica física

Mensagem por LeoJaques »

UP
A minha ideia era mais ou menos essa:

image.png
image.png
Mas não cheguei em nada.
Queria considerar os raios AE e CD praticamente paralelos, mas ai não aparece a distância focal nas contas.
Avatar do usuário
Usuário Excluído 30973
Jul 2025 21 17:36

Re: Óptica física

Mensagem por Usuário Excluído 30973 »

LeoJaques escreveu: 21 Jul 2025, 14:52 UP
A minha ideia era mais ou menos essa:


image.png

image.png

Mas não cheguei em nada.
Queria considerar os raios AE e CD praticamente paralelos, mas ai não aparece a distância focal nas contas.
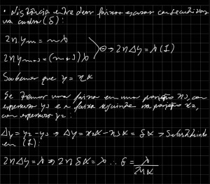
Obrigada pela resposta! Consegui pegar a sua ideia de fazer por caminho óptico, não desenvolvi exatamente da mesma forma que você, mas consegui achar a distância entre duas franjas consecutivas na própria cunha. Depois disso eu travei. Não estou conseguindo usar as informações da lente.
Não sei se eu fiz certo também:
1000008523.jpg
1000008524.jpg
Responder
  • Tópicos Semelhantes
    Resp.
    Exibições
    Últ. msg

Voltar para “Física II”