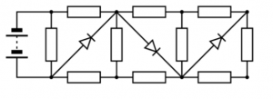
Quantas vezes a corrente através da bateria muda se a polaridade da bateria for invertida? Todos os resistores são idênticos, os diodos são ideais e a resistência interna da bateria é negligenciável.
Não tenho o gab, queria confirmar com alguém. Eu tinha pensando assim:
- Na configuração original:
O diodo mais à esquerda não conduz, o do meio conduz e o da direita também não conduz corrente.
- Quando a polaridade é invertida:
Os diodos que não conduziam, agora conduzem, e o diodo do meio não conduz mais.
- Polaridade variando de +V a -V:
+V -> só um caminho conduz corrente
V=0 -> nenhum caminho conduz
-V -> outro caminho diferente conduz corrente.
Então, a corrente através da bateria mudaria duas vezes. Eu não sei se está certo o que eu pensei, se alguém puder me ajudar, agradeceria.
Outra dúvida, eu interpretei certo o que o enunciado quer dizer com "a corrente muda”?
Eu entendi que é no sentido de quantas vezes o circuito muda de configuração de condução, e não de o valor absoluto da corrente variar (já que ele não mudaria). Achei um pouco ambíguo.
Física III ⇒ Circuito Tópico resolvido
- jedi Offline
- Mensagens: 1010
- Registrado em: 11 Jul 2013, 14:57
- Agradeceu: 80 vezes
- Agradeceram: 763 vezes
Out 2025
15
21:33
Re: Circuito
O seu raciocínio sobre a condução dos diodos nas duas configurações esta correto.
Quanto a mudança da corrente, ele esta se referindo à intensidade mesmo. A corrente não fica igual, a configuração do circuito muda o circuito equivalente que a bateria esta alimentando.
Quanto a mudança da corrente, ele esta se referindo à intensidade mesmo. A corrente não fica igual, a configuração do circuito muda o circuito equivalente que a bateria esta alimentando.
-
- Tópicos Semelhantes
- Resp.
- Exibições
- Últ. msg
-
- 1 Resp.
- 1993 Exibições
-
Últ. msg por roberto
-
- 4 Resp.
- 5137 Exibições
-
Últ. msg por _marcio
-
- 2 Resp.
- 2445 Exibições
-
Últ. msg por irwing
-
- 1 Resp.
- 1555 Exibições
-
Últ. msg por Thales Gheós
-
- 5 Resp.
- 1823 Exibições
-
Últ. msg por Thales Gheós
![🔴 [ENEM 2025 PPL Live 03] Matemática - Resolução de 146 até 150](/cdn-cgi/image/width=200,dpr=2,quality=85,format=auto,metadata=none,onerror=redirect/https://img.youtube.com/vi/fD8ohgS6JKo/mqdefault.jpg)
![🔴 [ENEM 2025 PPL Live 02] Matemática - Resolução de 141 até 145](/cdn-cgi/image/width=200,dpr=2,quality=85,format=auto,metadata=none,onerror=redirect/https://img.youtube.com/vi/np7jAEKAjTE/mqdefault.jpg)
![🔴 [ENEM 2025 PPL Live 01] Matemática - Resolução de 136 até 140](/cdn-cgi/image/width=200,dpr=2,quality=85,format=auto,metadata=none,onerror=redirect/https://img.youtube.com/vi/vb1b6e7VXjw/mqdefault.jpg)
![🔴 [ENEM 2025 Belém Live 09] Matemática - Resolução de 176 até 180](/cdn-cgi/image/width=200,dpr=2,quality=85,format=auto,metadata=none,onerror=redirect/https://img.youtube.com/vi/krrZ-ei9zSY/mqdefault.jpg)
![🔴 [ENEM 2025 Belém Live 08] Matemática - Resolução de 171 até 175](/cdn-cgi/image/width=200,dpr=2,quality=85,format=auto,metadata=none,onerror=redirect/https://img.youtube.com/vi/MvNi78z2R8o/mqdefault.jpg)
![🔴 [ENEM 2025 Belém Live 07] Matemática - Resolução de 166 até 170](/cdn-cgi/image/width=200,dpr=2,quality=85,format=auto,metadata=none,onerror=redirect/https://img.youtube.com/vi/X_1EIDOwGVg/mqdefault.jpg)