• 🔴 [ENEM 2025 PPL Live 06] Matemática - Resolução de 161 até 165
  • 🔴 [ENEM 2025 PPL Live 05] Matemática - Resolução de 156 até 160
  • 🔴 [ENEM 2025 PPL Live 04] Matemática - Resolução de 151 até 155
  • 🔴 [ENEM 2025 PPL Live 03] Matemática - Resolução de 146 até 150
  • 🔴 [ENEM 2025 PPL Live 02] Matemática - Resolução de 141 até 145
  • 🔴 [ENEM 2025 PPL Live 01] Matemática - Resolução de 136 até 140

Química OrgânicaFunções Orgânicas Tópico resolvido

Estamos a procura de moderadores para os fóruns de Química.
Se for do seu interesse, envie uma mensagem para o Prof. Caju
Avatar do usuário
ALDRIN Offline
3 - Destaque
Mensagens: 4857
Registrado em: 09 Abr 2008, 16:20
Localização: Brasília-DF
Agradeceu: 2622 vezes
Agradeceram: 311 vezes
Jul 2013 30 10:30

Funções Orgânicas

Mensagem por ALDRIN »

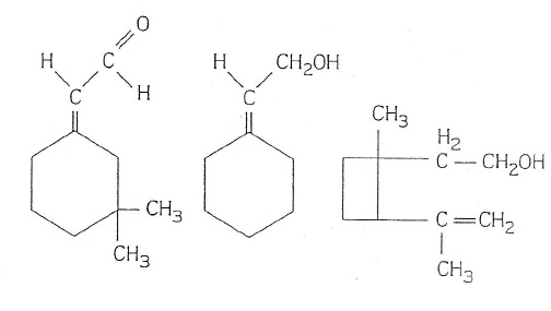
As fêmeas adultas de algumas espécies de insetos exalam substâncias sexualmente atraentes, denominadas feromônios, que, mesmo em pequenas quantidades, são detectadas pelos machos da mesma espécie, o que facilita a reprodução dos insetos.
Considere os feromônios representados a seguir:
Fero.jpg
Fero.jpg (19.14 KiB) Exibido 1342 vezes
Quais as funções presentes nessas substâncias?
Editado pela última vez por ALDRIN em 30 Jul 2013, 10:30, em um total de 1 vez.
"O ângulo inscrito no semicírculo é reto."
Ao descobrir essa verdade Tales fez sacrifício aos deuses.

Hoefer, H., 80.
Avatar do usuário
Radius Offline
4 - Sabe Tudo
Mensagens: 1235
Registrado em: 08 Set 2012, 21:30
Agradeceu: 341 vezes
Agradeceram: 755 vezes
Jul 2013 30 19:04

Re: Funções Orgânicas

Mensagem por Radius »

Aldeído // Álcool // Álcool
Responder
  • Tópicos Semelhantes
    Resp.
    Exibições
    Últ. msg
  • (ITA - 2008) Funções Orgânicas
    por mahriana » » em IME/ITA
    5 Resp.
    4534 Exibições
    Últ. msg por Diegooo Avatar do usuário
  • Funções Orgânicas
    por suhpr » » em Química Orgânica
    1 Resp.
    1195 Exibições
    Últ. msg por Kihamerusei Avatar do usuário
  • (UEG) Funções Orgânicas
    por Auto Excluído (ID:20137) » » em Química Orgânica
    2 Resp.
    2280 Exibições
    Últ. msg por Auto Excluído (ID:20137) Avatar do usuário
  • (UEG) Funções orgânicas
    por Auto Excluído (ID:20876) » » em Química Orgânica
    5 Resp.
    2370 Exibições
    Últ. msg por Sypru Avatar do usuário
  • Funções ôrganicas
    por IGFX » » em Química Orgânica
    1 Resp.
    1857 Exibições
    Últ. msg por Anonymous Avatar do usuário

Voltar para “Química Orgânica”