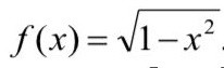
Seja

- 1.jpg (3.66 KiB) Exibido 463 vezes
dada pela sua função

- 2.jpg (3.23 KiB) Exibido 463 vezes
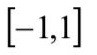
. A figura formada pelo gráfico de f e o intervalo real

- 6cae77be-5e53-4a8b-8f7b-75835653ba2b.jpg (1.58 KiB) Exibido 463 vezes
no eixo x, corresponde ao semicírculo superior do círculo de raio 1. Assim, é correto afirma que a área desta figura é:
Cabe recurso?
Questão da prova: