• 🔴 [ENEM 2025 PPL Live 06] Matemática - Resolução de 161 até 165
  • 🔴 [ENEM 2025 PPL Live 05] Matemática - Resolução de 156 até 160
  • 🔴 [ENEM 2025 PPL Live 04] Matemática - Resolução de 151 até 155
  • 🔴 [ENEM 2025 PPL Live 03] Matemática - Resolução de 146 até 150
  • 🔴 [ENEM 2025 PPL Live 02] Matemática - Resolução de 141 até 145
  • 🔴 [ENEM 2025 PPL Live 01] Matemática - Resolução de 136 até 140

Concursos Públicos37 equação 2º grau Tópico resolvido

Este é o fórum para postagem de problemas cobrados em Concursos Públicos ou problemas que são do estilo de Concursos Públicos.
Avatar do usuário
Analisesousp Offline
1 - Trainee
Mensagens: 361
Registrado em: 18 Nov 2023, 18:21
Agradeceu: 8 vezes
Agradeceram: 3 vezes
Set 2024 21 22:25

37 equação 2º grau

Mensagem por Analisesousp »

Qual das alternativas apresenta o maior valor de [tex3]p[/tex3] na equação [tex3]x^2 − (p + 4) + 4 = 0[/tex3], de modo que o discriminante seja nulo?
Resposta

gabarito: -8
Crescer consultoria 2023
Editado pela última vez por caju em 25 Set 2024, 08:49, em um total de 1 vez.
Razão: colocar tex nas expressões matemáticas.
Avatar do usuário
FelipeWagner Offline
1 - Trainee
Mensagens: 36
Registrado em: 21 Jan 2018, 18:40
Nome completo: Felipe
Agradeceu: 1 vez
Agradeceram: 11 vezes
Contato:
Set 2024 27 17:38

Re: 37 equação 2º grau

Mensagem por FelipeWagner »

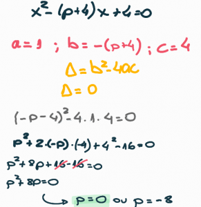
Olá, questão que envolve a ideia do estudo do discriminante (delta) de uma equação do 2° grau. Vamos lá?

Acredito que a equação correta seja essa:
[tex3]x^2 − (p + 4)x + 4 = 0[/tex3]


Segue a resolução:
image.png
O maior valor é 0
O menor valor é -8.
Meu contato:
https://abre.ai/olaprof
Avatar do usuário
Analisesousp Offline
1 - Trainee
Mensagens: 361
Registrado em: 18 Nov 2023, 18:21
Agradeceu: 8 vezes
Agradeceram: 3 vezes
Set 2024 27 17:59

Re: 37 equação 2º grau

Mensagem por Analisesousp »

Não tem x a direita do parenteses. Daí não consegui chegar ao gabarito. Obrigada

Correção: prova de 2019
Anexos
Screenshot_20240927-175727-688.png
Responder
  • Tópicos Semelhantes
    Resp.
    Exibições
    Últ. msg

Voltar para “Concursos Públicos”