• 🔴 [ENEM 2025 PPL Live 03] Matemática - Resolução de 146 até 150
  • 🔴 [ENEM 2025 PPL Live 02] Matemática - Resolução de 141 até 145
  • 🔴 [ENEM 2025 PPL Live 01] Matemática - Resolução de 136 até 140
  • 🔴 [ENEM 2025 Belém Live 09] Matemática - Resolução de 176 até 180
  • 🔴 [ENEM 2025 Belém Live 08] Matemática - Resolução de 171 até 175
  • 🔴 [ENEM 2025 Belém Live 07] Matemática - Resolução de 166 até 170

IME/ITA(IME/ITA) Física Moderna Tópico resolvido

Aqui deverão ser postadas questões desses vestibulares e de outras instituições militares (EN, CN, EsPCEx etc.).
Avatar do usuário
Jpgonçalves Offline
Avançado
Mensagens: 142
Registrado em: 14 Jan 2022, 20:24
Agradeceu: 10 vezes
Agradeceram: 9 vezes
Out 2024 17 19:12

(IME/ITA) Física Moderna

Mensagem por Jpgonçalves »

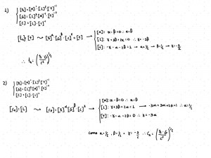
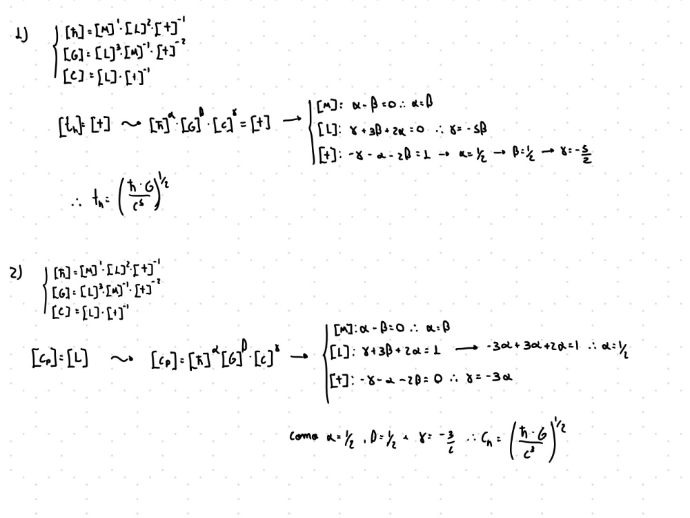
Na Fisica atual, o menor tempo e o menor comprimento conceptíveis são denominados tempo de Planck [tex3]t_{p}[/tex3] e comprimento de Planck [tex3]C_{p}[/tex3] respectivamente. Essas duas grandezas são definidas a partir da combinação das constantes fisicas fundamentais: A constante de Planck reduzida [tex3]\frac{h}{2π}[/tex3], [tex3]G[/tex3] (constante da Gravitação Universal) e [tex3]c[/tex3] (velocidade luz no vácuo). Considerando o Sistema Internacional de medidas (SI), dê as corretas combinações entre [tex3]\frac{h}{2π}[/tex3], [tex3]G[/tex3] e [tex3]C_{p}[/tex3] para [tex3]t_{p}[/tex3] e [tex3]C_{p}[/tex3].
Resposta

[tex3] \Biggl({\frac{\frac{h}{2π}.G}{c^5}\Biggr)}^{\frac{1}{2}}[/tex3], [tex3] \Biggl({\frac{\frac{h}{2π}.G}{c^3}\Biggr)}^{\frac{1}{2}}[/tex3]
Avatar do usuário
FelipeOBala Offline
2 - Nerd
Mensagens: 92
Registrado em: 14 Out 2024, 12:18
Nome completo: Felipe A. P. Pontes
Agradeceu: 3 vezes
Agradeceram: 40 vezes
Out 2024 17 22:46

Re: (IME/ITA) Física Moderna

Mensagem por FelipeOBala »

Boa noite!

Segue em anexo a resolução.
Anexos
IMG_0056.jpeg
“Do you see, how infinite you are”
Responder
  • Tópicos Semelhantes
    Resp.
    Exibições
    Últ. msg
  • (IME/ITA) Física Moderna
    por Jpgonçalves » » em IME/ITA
    2 Resp.
    1161 Exibições
    Últ. msg por παθμ Avatar do usuário
  • (ITA-2008) Física Moderna
    por Leandro » » em IME/ITA
    2 Resp.
    3361 Exibições
    Últ. msg por theblackmamba Avatar do usuário
  • (ITA - 2005) Física Moderna
    por Leandro » » em IME/ITA
    2 Resp.
    4332 Exibições
    Últ. msg por theblackmamba Avatar do usuário
  • (ITA - 2004) Física Moderna
    por Leandro » » em IME/ITA
    4 Resp.
    4778 Exibições
    Últ. msg por Leandro
  • Física Moderna 1
    por italoemanuell » » em Física III
    1 Resp.
    2460 Exibições
    Últ. msg por Thales Gheós Avatar do usuário

Voltar para “IME/ITA”