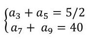
Encontre a razão (q) da P.G.em que a soma do 3° termo com 5° termo é 5/2 e a soma do 7° termo com o 9° termo é 40 .Conforme a figura abaixo:
Detalhe a resposta é: +2 e -2
Por favor me explique como se resolve passo a passo, como se fatora.
Ensino Médio ⇒ Encontre a razão (q) da P.G.
- andersontricordiano Offline
- Mensagens: 317
- Registrado em: 12 Nov 2010, 14:06
- Agradeceu: 3 vezes
Fev 2011
22
11:25
Encontre a razão (q) da P.G.
Editado pela última vez por andersontricordiano em 22 Fev 2011, 11:25, em um total de 1 vez.
- adrianotavares Offline
- Mensagens: 1501
- Registrado em: 02 Jul 2008, 22:12
- Agradeceram: 217 vezes
Fev 2011
22
19:05
Re: Encontre a razão (q) da P.G.
Olá,andersontricordiano.
De acordo com o enunciado temos:
[tex3]a_3+a_5=\frac{5}{2} \Rightarrow a_1.q^2+a_1.q^4=\frac{5}{2}\Rightarrow a_1.q^2(1+q^2)=\frac{5}{2}[/tex3] [tex3](i)[/tex3]
[tex3]a_7+a_9=40 \Rightarrow a_1.q^6+a_1.q^8=40 \Rightarrow a_1.q^2(q^2+q^6)=40[/tex3] [tex3](ii)[/tex3]
Dividindo [tex3](i)[/tex3] por [tex3](ii)[/tex3] teremos:
[tex3]\frac{(1+q^2)}{(q^4+q^6)}=\frac{1}{16} \Rightarrow \frac{(1+q^2)}{q^4(1+q^2)}=\frac{1}{16} \Rightarrow q^4=16 \Rightarrow q=\pm 2[/tex3]
De acordo com o enunciado temos:
[tex3]a_3+a_5=\frac{5}{2} \Rightarrow a_1.q^2+a_1.q^4=\frac{5}{2}\Rightarrow a_1.q^2(1+q^2)=\frac{5}{2}[/tex3] [tex3](i)[/tex3]
[tex3]a_7+a_9=40 \Rightarrow a_1.q^6+a_1.q^8=40 \Rightarrow a_1.q^2(q^2+q^6)=40[/tex3] [tex3](ii)[/tex3]
Dividindo [tex3](i)[/tex3] por [tex3](ii)[/tex3] teremos:
[tex3]\frac{(1+q^2)}{(q^4+q^6)}=\frac{1}{16} \Rightarrow \frac{(1+q^2)}{q^4(1+q^2)}=\frac{1}{16} \Rightarrow q^4=16 \Rightarrow q=\pm 2[/tex3]
Editado pela última vez por adrianotavares em 22 Fev 2011, 19:05, em um total de 1 vez.
-
- Tópicos Semelhantes
- Resp.
- Exibições
- Últ. msg
-
- 2 Resp.
- 686 Exibições
-
Últ. msg por willianstinoco
-
- 1 Resp.
- 706 Exibições
-
Últ. msg por andrecaldas
-
- 1 Resp.
- 2675 Exibições
-
Últ. msg por adrianotavares
-
- 2 Resp.
- 3981 Exibições
-
Últ. msg por SirTcgm
-
- 5 Resp.
- 747 Exibições
-
Últ. msg por FilipeCaceres
![🔴 [ENEM 2025 PPL Live 05] Matemática - Resolução de 156 até 160](/cdn-cgi/image/width=200,dpr=2,quality=85,format=auto,metadata=none,onerror=redirect/https://img.youtube.com/vi/m2T1rBKy2qU/mqdefault.jpg)
![🔴 [ENEM 2025 PPL Live 04] Matemática - Resolução de 151 até 155](/cdn-cgi/image/width=200,dpr=2,quality=85,format=auto,metadata=none,onerror=redirect/https://img.youtube.com/vi/1scCX1e_dZo/mqdefault.jpg)
![🔴 [ENEM 2025 PPL Live 03] Matemática - Resolução de 146 até 150](/cdn-cgi/image/width=200,dpr=2,quality=85,format=auto,metadata=none,onerror=redirect/https://img.youtube.com/vi/fD8ohgS6JKo/mqdefault.jpg)
![🔴 [ENEM 2025 PPL Live 02] Matemática - Resolução de 141 até 145](/cdn-cgi/image/width=200,dpr=2,quality=85,format=auto,metadata=none,onerror=redirect/https://img.youtube.com/vi/np7jAEKAjTE/mqdefault.jpg)
![🔴 [ENEM 2025 PPL Live 01] Matemática - Resolução de 136 até 140](/cdn-cgi/image/width=200,dpr=2,quality=85,format=auto,metadata=none,onerror=redirect/https://img.youtube.com/vi/vb1b6e7VXjw/mqdefault.jpg)
![🔴 [ENEM 2025 Belém Live 09] Matemática - Resolução de 176 até 180](/cdn-cgi/image/width=200,dpr=2,quality=85,format=auto,metadata=none,onerror=redirect/https://img.youtube.com/vi/krrZ-ei9zSY/mqdefault.jpg)